W tym zadaniu oblicz wynik działań:
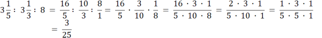
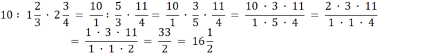
Dzielenie możemy zastąpić mnożeniem razy liczbę odwrotną, czyli taką, w której licznik jest zamieniony miejscami z mianownikiem.
Zadanie 1 zamknięte
84Zadanie 3 zamknięte
84Zadanie 11 zamknięte
85Zadanie 2.
86Zadanie 9.
86Zadanie 1 zamknięte
87Zadanie 3 zamknięte
88Zadanie 4 zamknięte
88Zadanie 9 zamknięte
89Zadanie 1
92Zadanie 3
93Zadanie 15
94Zadanie 17
95Zadanie 1 zamknięte
95Zadanie 4 zamknięte
96Zadanie 5 zamknięte
96Zadanie 6 zamknięte
96Zadanie 9 zamknięte
97Zadanie 4.
98Zadanie 1 zamknięte
99Zadanie 12 zamknięte
100Zadanie 13 zamknięte
101Zadanie 1.
101Zadanie 3.
101Zadanie 1 zamknięte
103Zadanie 2 zamknięte
103Zadanie 6 zamknięte
104Zadanie 4.
105Zadanie 5.
106Zadanie 6.
106Zadanie 8.
106Zadanie 3 zamknięte
107Zadanie 6 zamknięte
108Zadanie 9 zamknięte
109Zadanie 2.
110Zadanie 8.
110Zadanie 9.
111Zadanie 10.
111Zadanie 11.
111Zadanie 13.
111Zadanie 1 zamknięte
112Zadanie 7 zamknięte
113Zadanie 5.
116