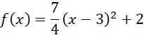
Musisz przeanalizować podany wykres oraz zapisać wzór funkcji na podstawie informacji wyciągniętych z wykresu.
Funkcja nie posiada miejsc zerowych, więc odczytamy współrzędne wierzchołka paraboli:
Więc wykres funkcji możemy zapisać następująco:
Możemy odczytać również, że punkt (1, 9) należy do rozwiązań funkcji f(x), więc:
Ostatecznie wzór możemy zapisać:
Ćwiczenie 3
325Ćwiczenie 4
326Ćwiczenie 5
327Zadanie 14.1
328Zadanie 14.3
328Zadanie 14.5
328Zadanie 14.9
329Ćwiczenie 7
330Ćwiczenie 8
331Ćwiczenie 9
331Ćwiczenie 10
331Ćwiczenie 11
332Ćwiczenie 12
333Ćwiczenie 13
333Zadanie 14.10
335Zadanie 14.11
335Zadanie 14.12
335Zadanie 14.14
335Zadanie 14.15
336Zadanie 14.16
336Zadanie 14.18
336Ćwiczenie 14
338Ćwiczenie 15
338Ćwiczenie 16
339Zadanie 14.19
339Zadanie 14.20
339Zadanie 14.22
340Zadanie 14.24
340Ćwiczenie 18
342Ćwiczenie 19
344Ćwiczenie 20
344Zadanie 14.30
345Zadanie 14.31
345Zadanie 14.32
345Zadanie 14.33
345Zadanie 14.34
346Zadanie 14.36
346Zadanie 14.38
346Ćwiczenie 23
348Ćwiczenie 24
348Ćwiczenie 25
350Zadanie 14.40
350Zadanie 14.42
351Zadanie 14.44
351Zadanie 14.46
351Ćwiczenie 26
353Ćwiczenie 27
353Ćwiczenie 28
354Zadanie 14.48
354Zadanie 14.49
355Zadanie 14.51
355Zadanie 14.52
355Zadanie 14.53
355Zadanie 14.55
356Zadanie 14.56
356Zadanie 14.57
356Zadanie 14.58
356Zadanie 14.59
356Zadanie 14.60
357Ćwiczenie 29
359Ćwiczenie 30
359Ćwiczenie 33
361Zadanie 14.61
362Zadanie 14.62
362Zadanie 14.63
362Zadanie 14.64
362Zadanie 14.65
362Zadanie 14.66
363Zadanie 14.68
363Zadanie 14.74
363Zadanie 14.75
364Zadanie 14.76
364Zadanie 7
365Zadanie 9
365