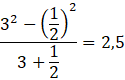
Za x nie można wstawić – y.
Za x wstaw 3 i za y ½ i wykonaj odpowiednie obliczenia. Nie można dzielić przez 0, więc w mianowniku ułamka nie może pojawić się 0, czyli
Zadanie 1.
71Zadanie 2.
71Zadanie 4.
71Zadanie 5.
71Zadanie 8.
71Zadanie 9.
72Zadanie 11.
72Zadanie 12.
72Zadanie 13.
72Zadanie 14.
72Zadanie 15.
73Zadanie 17.
73Zadanie 18.
73Zadanie 20.
73Zadanie 1.
74Zadanie 2.
74Zadanie 4.
74Zadanie 6.
74Zadanie 7.
74Zadanie 8.
74Zadanie 9.
75Zadanie 10.
75Zadanie 13.
75Zadanie 16.
75Zadanie 17
76Zadanie 21.
76Zadanie 25.
76Zadanie 1.
77Zadanie 2.
77Zadanie 4.
77Zadanie 5.
77Zadanie 6.
77Zadanie 8.
78Zadanie 9.
78Zadanie 10.
78Zadanie 11.
78Zadanie 12.
78Zadanie 14
78Zadanie 16.
78Zadanie 20.
79Zadanie 23.
79Zadanie 26.
79Zadanie 1.
80Zadanie 2.
80Zadanie 3.
80Zadanie 5.
80Zadanie 6.
80Zadanie 7.
80Zadanie 8.
80Zadanie 9.
81Zadanie 12.
81Zadanie 13.
81Zadanie 14.
81Zadanie 15.
81Zadanie 16
81Zadanie 17.
82Zadanie 21.
82Zadanie 24.
82Zadanie 3.
83Zadanie 8.
83Zadanie 17.
84Zadanie 25.
85Zadanie 28.
85Zadanie 14.
87Zadanie 15.
87