Skul.pl
  • Opracowania zadań z podręczników
  • Matematyka z plusem. Klasa 6. Zeszyt ćwiczeń - pytania i odpowiedzi.
  • Podpunkt b)

Matematyka z plusem. Klasa 6. Zeszyt ćwiczeń - pytania i odpowiedzi.

Podręcznik, Wydawnictwo: GWO
Poprzednie

Zadanie 2., b) - strona 66

Następne

Zadanie

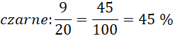
Aby zamienić ułamek na procent, musisz pomnożyć ten ułamek przez 100%.

Rozwiązanie

Skul

Wyjaśnienie

Zapisz ułamek. Mianownik to liczba wszystkich koralików, a licznik to liczba koralików w danym kolorze. Następnie rozszerz ułamek do mianownika 100 i zamień na procenty.

Poprzednie
Następne

Matematyka - wybrane pytania

Zadanie 27, strona 227, Matematyka. Klasa 5. Podręcznik - rozwiązania i odpowiedzi
Zadanie 6, strona 176, MATeMAtyka. Klasa 1. Zbiór zadań. Zakres podstawowy – rozwiązania i odpowiedzi
Zadanie 36, strona 281, MATeMAtyka 4. Zakres podstawowy i rozszerzony. Podręcznik - rozwiązania i odpowiedzi
Zadanie 42., strona 54, Matematyka. Klasa 8. Zbiór zadań - rozwiązania i odpowiedzi
Zadanie 9., strona 81, Teraz matura. Klasa 4. Poziom rozszerzony. Zbiór zadań – rozwiązania i odpowiedzi
Zadanie 15, strona 194, Matematyka. Klasa 4. Podręcznik - rozwiązania i odpowiedzi
Zadanie 15., strona 250, Matematyka z plusem. Klasa 3. Podręcznik. Zakres rozszerzony – rozwiązania i odpowiedzi
Zadanie 9., strona 266, Matematyka. Klasa 8. Podręcznik – rozwiązania i odpowiedzi
Zadanie 7.17., strona 93, Prosto do matury 4. Zakres podstawowy i rozszerzony. Podręcznik - rozwiązania i odpowiedzi
Zadanie 14., strona 105, Matematyka. Klasa 1. Zakres podstawowy. Zbiór zadań - rozwiązania i odpowiedzi
REKLAMA
Skul
Zadania z tego działu
Procenty
64
Procenty i ułamki
64

Zadanie 1.

64

Podpunkt a)

64

Podpunkt b)

64

Zadanie 2.

64

Zadanie 3.

64

Zadanie 4.

64

Zadanie 5.

65

Zadanie 6.

65
Jaki to procent?
65

Zadanie 1.

65

Podpunkt a)

65

Podpunkt b)

65

Podpunkt c)

65

Podpunkt d)

65

Podpunkt e)

65

Zadanie 2.

66

Podpunkt a)

66

Podpunkt b)

66

Zadanie 3.

66
Diagramy procentowe
66

Zadanie 1.

66

Podpunkt a)

66

Podpunkt b)

66

Podpunkt c)

66

Podpunkt d)

66

Zadanie 2.

67

Zadanie 3.

67

Zadanie 4.

67

Podpunkt a)

67

Podpunkt b)

67

Podpunkt c)

67
Obliczenia procentowe
68

Zadanie 1.

68

Podpunkt a)

68

Podpunkt b)

68

Zadanie 2.

68

Podpunkt a)

68

Podpunkt b)

68

Podpunkt c)

68

Zadanie 3.

68

Podpunkt a)

68

Podpunkt b)

68

Podpunkt c)

68

Podpunkt d)

68

Zadanie 4.

68

Zadanie 5.

68

Podpunkt a)

68

Podpunkt b)

68

Podpunkt c)

68
Obniżki i podwyżki
69

Zadanie 1.

69

Zadanie 2.

69

Podpunkt a)

69

Podpunkt b)

69

Podpunkt c)

69

Zadanie 3.

69

Podpunkt a)

69

Podpunkt b)

69

Podpunkt c)

69

Zadanie 4.

69
Sprawdź, ile umiesz
70

Zadanie 1.

70

Zadanie 2.

70

Podpunkt a)

70

Podpunkt b)

70

Podpunkt c)

70

Podpunkt d)

70

Zadanie 3.

70

Podpunkt a)

70

Podpunkt b)

70

Podpunkt c)

70

Zadanie 4.

70

Zadanie 5.

71

Zadanie 6.

71

Zadanie Zagadka nr 6.

71
Pełny spis treści
Skul
Artboard 1
Skul.pl
  • Napisz do nas
  • FAQ
  • Mapa Serwisu
  • Google Play
  • App Store

Korzystanie z portalu oznacza akceptację Regulaminu.
Polityka prywatności. Ustawienia preferencji. Copyright: INTERIA.PL 1999-2023 Wszystkie prawa zastrzeżone.