Skul.pl
  • Opracowania zadań z podręczników
  • Matematyka z plusem. Klasa 6. Zeszyt ćwiczeń - pytania i odpowiedzi.
  • Podpunkt d)

Matematyka z plusem. Klasa 6. Zeszyt ćwiczeń - pytania i odpowiedzi.

Podręcznik, Wydawnictwo: GWO
Poprzednie

Zadanie 3., d) - strona 68

Następne

Zadanie

Oblicz procent danej wartości.

Rozwiązanie

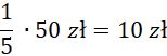
20% kwoty 50 zł to 10 zł.

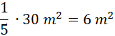
20% pola 30 m2 to 6 m2

Skul

Wyjaśnienie

Zamień dany procent na ułamek (podziel ten procent przez 100%) i pomnóż przez daną wartość.

Poprzednie
Następne

Matematyka - wybrane pytania

Ćwiczenie 7., strona 12, Matematyka z plusem. Klasa 6. Zeszyt ćwiczeń. Wersja A. Część 2 - rozwiązania i odpowiedzi
Zadanie 3, strona 88, Teraz matura. Klasa 4. Zbiór zadań. Poziom podstawowy – rozwiązania i odpowiedzi
Ćwiczenie 1., strona 11, Matematyka. Klasa 2. Podręcznik. Zakres podstawowy - rozwiązania i odpowiedzi
Zadanie Dla dociekliwych 1, strona 134, Matematyka z kluczem. Klasa 6. Podręcznik. Część 2 - rozwiązania i odpowiedzi
Zadanie 1, strona 198, Matematyka. Klasa 4. Podręcznik - rozwiązania i odpowiedzi
Ćwiczenie 2, strona 110, Matematyka. Klasa 7. Ćwiczenia - rozwiązania i odpowiedzi.
Zadanie 5.16., strona 261, Prosto do matury. Matematyka. Klasa 2. Podręcznik. Zakres podstawowy i rozszerzony – rozwiązania i odpowiedzi
Zadanie Czy już umiem? I, strona 259, Matematyka z kluczem. Klasa 7. Podręcznik – rozwiązania i odpowiedzi
Zadanie 19, strona 112, MATeMAtyka. Klasa 1. Zbiór zadań. Zakres podstawowy – rozwiązania i odpowiedzi
Zadanie 15., strona 300, Matematyka. Klasa 7. Podręcznik – rozwiązania i odpowiedzi
REKLAMA
Skul
Zadania z tego działu
Procenty
64
Procenty i ułamki
64

Zadanie 1.

64

Podpunkt a)

64

Podpunkt b)

64

Zadanie 2.

64

Zadanie 3.

64

Zadanie 4.

64

Zadanie 5.

65

Zadanie 6.

65
Jaki to procent?
65

Zadanie 1.

65

Podpunkt a)

65

Podpunkt b)

65

Podpunkt c)

65

Podpunkt d)

65

Podpunkt e)

65

Zadanie 2.

66

Podpunkt a)

66

Podpunkt b)

66

Zadanie 3.

66
Diagramy procentowe
66

Zadanie 1.

66

Podpunkt a)

66

Podpunkt b)

66

Podpunkt c)

66

Podpunkt d)

66

Zadanie 2.

67

Zadanie 3.

67

Zadanie 4.

67

Podpunkt a)

67

Podpunkt b)

67

Podpunkt c)

67
Obliczenia procentowe
68

Zadanie 1.

68

Podpunkt a)

68

Podpunkt b)

68

Zadanie 2.

68

Podpunkt a)

68

Podpunkt b)

68

Podpunkt c)

68

Zadanie 3.

68

Podpunkt a)

68

Podpunkt b)

68

Podpunkt c)

68

Podpunkt d)

68

Zadanie 4.

68

Zadanie 5.

68

Podpunkt a)

68

Podpunkt b)

68

Podpunkt c)

68
Obniżki i podwyżki
69

Zadanie 1.

69

Zadanie 2.

69

Podpunkt a)

69

Podpunkt b)

69

Podpunkt c)

69

Zadanie 3.

69

Podpunkt a)

69

Podpunkt b)

69

Podpunkt c)

69

Zadanie 4.

69
Sprawdź, ile umiesz
70

Zadanie 1.

70

Zadanie 2.

70

Podpunkt a)

70

Podpunkt b)

70

Podpunkt c)

70

Podpunkt d)

70

Zadanie 3.

70

Podpunkt a)

70

Podpunkt b)

70

Podpunkt c)

70

Zadanie 4.

70

Zadanie 5.

71

Zadanie 6.

71

Zadanie Zagadka nr 6.

71
Pełny spis treści
Skul
Artboard 1
Skul.pl
  • Napisz do nas
  • FAQ
  • Mapa Serwisu
  • Google Play
  • App Store

Korzystanie z portalu oznacza akceptację Regulaminu.
Polityka prywatności. Ustawienia preferencji. Copyright: INTERIA.PL 1999-2023 Wszystkie prawa zastrzeżone.