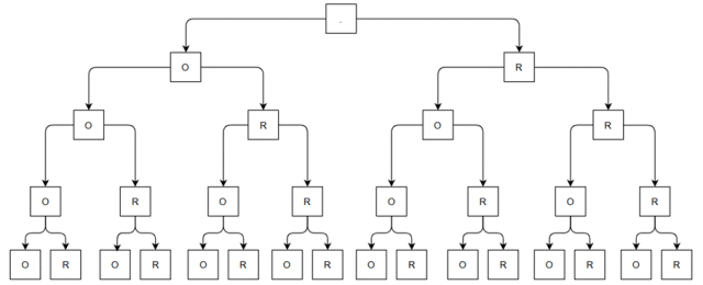
Narysuj w postaci drzewa zbiór wszystkich wyników doświadczenia polegającego na czterokrotnym rzucie monetą.
Zauważ, że w każdym rzucie monetą mogą wypasać dwa wyniki: orzeł lub reszka i przedstaw to za pomocą drzewa.
Ćwiczenie 4
11Zadanie 1
12Zadanie 2
12Zadanie 3
12Zadanie 4
12Ćwiczenie 1
14Ćwiczenie 2
15Ćwiczenie 3
15Ćwiczenie 4
15Zadanie 1
16Zadanie 2
16Zadanie 3
16Zadanie 4
16Zadanie 5
16Zadanie 6
16Zadanie 7
16Zadanie 8
16Zadanie 9
17Zadanie 10
17Zadanie 11
17Zadanie 12
17Zadanie 13
17Zadanie 14
17Zadanie 16
17Ćwiczenie 1
19Zadanie 1
20Zadanie 3
20Zadanie 5
20Ćwiczenie 1
21Ćwiczenie 3
22Zadanie 1
22Zadanie 2
22Zadanie 3
22Zadanie 5
22Zadanie 6
23Zadanie 8
23Zadanie 9
23Zadanie 10
23Zadanie 11
23Zadanie 12
23Ćwiczenie 1
24Ćwiczenie 2
25Ćwiczenie 4
25Zadanie 1
26Zadanie 2
26Zadanie 4
27Zadanie 5
27Zadanie 6
27Zadanie 9
27Zadanie 13
27Ćwiczenie 1
28Zadanie 3
30Ćwiczenie 1
32Ćwiczenie 4
33Ćwiczenie 5
33Zadanie 3
34Zadanie 4
34Zadanie 5
34Zadanie 7
34Zadanie 8
35Zadanie 9
35Zadanie 10
35Zadanie 11
35Zadanie 13
35Zadanie 16
35Zadanie 1
36Zadanie 5
36Zadanie 8
37Zadanie 9
37Zadanie 3
39Zadanie 5
39Ćwiczenie 1
40Ćwiczenie 3
40Ćwiczenie 5
41Ćwiczenie 6
41Ćwiczenie 9
42Zadanie 3
43Zadanie 4
43Zadanie 6
43Zadanie 9
43Zadanie 10
43Zadanie 11
44Zadanie 12
44Zadanie 15
44Zadanie 16
44Ćwiczenie 2
47Ćwiczenie 3
47Ćwiczenie 4
48Zadanie 1
48Zadanie 2
48Zadanie 3
48Zadanie 4
49Zadanie 5
48Zadanie 6
49Zadanie 7
49Zadanie 8
49Zadanie 4
51Zadanie 7
52Zadanie 8
52Zadanie 11
53Zadanie 1
54Zadanie 2
54Zadanie 3
54Zadanie 4
54Zadanie 6
54Zadanie 9
54Zadanie 11
55Zadanie 13
55Zadanie 14
55Zadanie 15
55Zadanie 2
56Zadanie 3
56Zadanie 4
56Zadanie 6
56Zadanie 7
56Zadanie 9
57Zadanie 10
57Zadanie 11
57Zadanie 12
57Zadanie 13
57