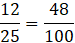
W tym zadaniu musisz uzupełnić równość, tak by była prawdziwa.
48 : 12 = 4
100 : 4 = 25
Określ przez jaką liczbę rozszerzoną mianownik oraz licznik ułamka.
Ćwiczenie 1.
78Ćwiczenie 2.
78Ćwiczenie 3.
78Ćwiczenie 4.
79Zadanie 1.
79Zadanie 2.
79Zadanie 3.
79Zadanie 4.
79Zadanie 5.
79Zadanie 6.
80Zadanie 9.
80Zadanie 11.
80Zadanie 12.
81Zadanie 15.
81Zadanie 16.
82Zadanie 17.
82Ćwiczenie 1.
83Zadanie 1.
85Zadanie 2.
85Zadanie 3.
85Ćwiczenie 1.
88Zadanie 1.
89Zadanie 17.
90Zadanie 24.
91Ćwiczenie 1.
94Ćwiczenie 2.
95Zadanie 1.
95Zadanie 2.
95Ćwiczenie 2.
100Ćwiczenie 3.
101Ćwiczenie 6.
103Ćwiczenie 1.
107Zadanie 6.
110Zadanie 7.
111Zadanie 8.
111Zadanie 9.
111Zadanie 10.
112Zadanie 11.
112Zadanie 12.
112Zadanie 13.
113Zadanie 14.
113Zadanie 15.
113Zadanie 16.
114Zadanie Czy to już potrafisz? 4.
115Zadanie Czy to już potrafisz? 5.
115Zadanie 7.
116Zadanie 8.
117Zadanie 9.
117Zadanie 10.
117Zadanie 14.
117Zadanie 15.
118Zadanie 1.
76Zadanie 2.
76Zadanie 3.
76Zadanie 11.
76Zadanie 12.
76