Skul.pl
  • Opracowania zadań z podręczników
  • Matematyka. Klasa 7. Zeszyt ćwiczeń - rozwiązania i odpowiedzi
  • Zadanie 2

Matematyka. Klasa 7. Zeszyt ćwiczeń - rozwiązania i odpowiedzi

Zeszyt ćwiczeń, Wydawnictwo: Operon
Poprzednie

Zadanie 2 - strona 19

Następne

Zadanie

Uzupełnij luki.

Rozwiązanie

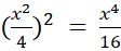
a)

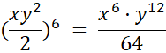
b)

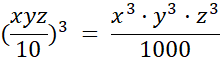
c)

Skul

Wyjaśnienie

Pamiętaj o działaniu potęgi, która jest za nawiasem, że zostanie ona dopisana do wszystkich elementów mnożenia i dzielenia wewnątrz nawiasu.

Poprzednie
Następne

Matematyka - wybrane pytania

Zadanie 3, strona 11, Matematyka. Klasa 6. Podręcznik - rozwiązania i odpowiedzi
Zadanie 7., strona 85, Prosto do matury. Matematyka. Klasa 1. Zakres podstawowy. Podręcznik - rozwiązania i odpowiedzi
Pytanie Podejmij temat, strona 40, Matematyka. Klasa 4. Podręcznik. Część 1 - rozwiązania i odpowiedzi
Zadanie 8, strona 57, Matematyka z kluczem. Klasa 4. Zbiór zadań – rozwiązania i odpowiedzi
Zadanie 19., strona 86, Teraz matura. Klasa 4. Poziom rozszerzony. Zbiór zadań – rozwiązania i odpowiedzi
Zadanie 17, strona 243, MATeMAtyka 4. Podręcznik dla liceum ogólnokształcącego i technikum. Zakres podstawowy
Zadanie 3., strona 32, Matematyka. Klasa 2. Zakres podstawowy. Zbiór zadań - rozwiązania i odpowiedzi
Zadanie 4.205., strona 102, Matematyka 4. Klasa 4. Zbiór zadań. Zakres rozszerzony - rozwiązania i odpowiedzi
Ćwiczenie 5., strona 21, Matematyka z plusem. Klasa 7. Zeszyt ćwiczeń - rozwiązania i odpowiedzi.
Zadanie 7, strona 405, Matematyka. Klasa 2. Podręcznik. Zakres rozszerzony – rozwiązania i odpowiedzi
REKLAMA
Skul
Zadania z tego działu
2. Potęgi
14
1. Potęga o wykładniku całkowitym dodatnim
14

Zadanie 1

14

Zadanie 2

14

Zadanie 3

14

Zadanie 4

14

Zadanie 5

14

Zadanie 6

14
2. Mnożenie i dzielenie potęg o jednakowych podstawach
15

Zadanie 1

15

Zadanie 2

15

Zadanie 3

15

Zadanie 4

15

Zadanie 5

15

Zadanie 6

15

Zadanie 7

16

Zadanie 8

16

Zadanie 9

16
3. Potęgowanie potęgi
17

Zadanie 1

17

Zadanie 2

17

Zadanie 3

17

Zadanie 4

17

Zadanie 5

18

Zadanie 6

18

Zadanie 7

18

Zadanie 8

19
4. Potęgowanie iloczynu i ilorazu
19

Zadanie 1

19

Zadanie 2

19

Zadanie 3

19

Zadanie 4

19

Zadanie 5

19

Zadanie 6

20
5. Działania na potęgach
20

Zadanie 1

20

Zadanie 2

20

Zadanie 3

20

Zadanie 4

20

Zadanie 5

21

Zadanie 6

21
6. Notacja wykładnicza
21

Zadanie 1

21

Zadanie 2

21

Zadanie 3

21

Zadanie 4

22

Zadanie 5

22

Zadanie 6

22

Zadanie 7

22
Pełny spis treści
Skul
Artboard 1
Skul.pl
  • Napisz do nas
  • FAQ
  • Mapa Serwisu
  • Google Play
  • App Store

Korzystanie z portalu oznacza akceptację Regulaminu.
Polityka prywatności. Ustawienia preferencji. Copyright: INTERIA.PL 1999-2023 Wszystkie prawa zastrzeżone.