Musisz zamalować podane części figur.
Zadanie 1.
Podpunkt a)
Podpunkt b)
Podpunkt c)
Zadanie 2.
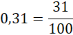
Zadanie 3.
Zadanie 4.
Zadanie 5.
Zadanie 6.
Zadanie 7.
Zadanie 8.
Zadanie 9.
Podpunkt d)