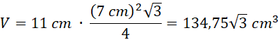
Podaj, jaka jest objętość graniastosłupa.
21 cm : 3 = 7 cm – długość krawędzi podstawy
Zadanie 1
Zadanie 2
Zadanie 3
Zadanie 4
Zadanie 5
Zadanie 6
Podpunkt a)
Podpunkt b)
Zadanie 7
Zadanie 8
Podpunkt c)
Podpunkt d)