W tym zadaniu musisz znaleźć przedziały, na których funkcja f rośnie, a na których maleje.
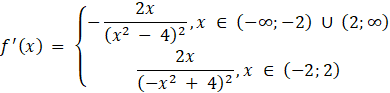
Pochodna funkcji f to:
Dziedzina pochodnej (oraz funkcji f) to
Funkcja f rośnie na przedziałach
Funkcja f jest rosnąca na przedziałach, na których jej pochodna przyjmuje wartości dodatnie, a malejąca na przedziałach, na których pochodna przyjmuje wartości ujemne.
Zadanie 1
208Zadanie 2
208Zadanie 3
208Zadanie 4
208Zadanie 5
208Zadanie 6
208Zadanie 7
209Zadanie 9
209Zadanie 12
210Zadanie 14
210Zadanie 16
210Zadanie 18
211Zadanie 19
211Zadanie 22
211Zadanie 24
211Zadanie 1
212Zadanie 2
212Zadanie 3
212Zadanie 4
212Zadanie 8
213Zadanie 9
213Zadanie 10
213Zadanie 11
213Zadanie 12
213Zadanie 14
213Zadanie 15
214Zadanie 16
214Zadanie 17
214Zadanie 21
214Zadanie 23
215Zadanie 24
215Zadanie 25
215Zadanie 27
215Zadanie 1
216Zadanie 2
216Zadanie 3
216Zadanie 4
216Zadanie 6
217Zadanie 7
217Zadanie 8
217Zadanie 9
217Zadanie 10
217Zadanie 14
218Zadanie 15
218Zadanie 16
218Zadanie 17
219Zadanie 18
219Zadanie 19
219Zadanie 20
219Zadanie 22
219Zadanie 1
220Zadanie 2
220Zadanie 3
220Zadanie 4
220Zadanie 5
220Zadanie 6
220Zadanie 10
221Zadanie 11
221Zadanie 16
222Zadanie 17
222Zadanie 18
222Zadanie 19
222Zadanie 20
222Zadanie 21
222Zadanie 22
223Zadanie 25
223Zadanie 1
224Zadanie 2
224Zadanie 3
224Zadanie 4
224Zadanie 6
224Zadanie 8
225Zadanie 9
225Zadanie 10
225Zadanie 11
225Zadanie 12
225Zadanie 15
226Zadanie 23
226Zadanie 25
227Zadanie 26
227Zadanie 1
228Zadanie 2
228Zadanie 3
228Zadanie 4
228Zadanie 6
229Zadanie 8
229Zadanie 9
229Zadanie 10
230Zadanie 11
230Zadanie 12
230Zadanie 1
232Zadanie 2
232Zadanie 3
232Zadanie 5
232Zadanie 6
233Zadanie 7
233Zadanie 8
233Zadanie 9
233Zadanie 10
233Zadanie 14
234Zadanie 15
234Zadanie 17
234Zadanie 18
234Zadanie 20
234Zadanie 1
235Zadanie 2
235Zadanie 3
235Zadanie 4
235Zadanie 5
235Zadanie 6
235Zadanie 8
236Zadanie 9
236Zadanie 11
236Zadanie 12
236Zadanie 13
236Zadanie 14
236Zadanie 15
237Zadanie 17
237Zadanie 18
237Zadanie 25
238Zadanie 29
238Zadanie 1
239Zadanie 3
239Zadanie 5
239Zadanie 8
240Zadanie 9
240Zadanie 10
240Zadanie 11
240Zadanie 14
240Zadanie 17
241Zadanie 18
241Zadanie 1
242Zadanie 2
242Zadanie 4
242Zadanie 5
242Zadanie 6
242Zadanie 7
242Zadanie 8
242Zadanie 9
243Zadanie 10
243Zadanie 11
243Zadanie 13
243Zadanie 14
243Zadanie 15
243Zadanie 18
244Zadanie 19
244Zadanie 20
244Zadanie 21
244Zadanie 22
244Zadanie 23
244Zadanie 26
245Zadanie 28
245Zadanie 30
245Zadanie 31
245Zadanie 1
246Zadanie 4
246Zadanie 5
246Zadanie 6
246Zadanie 9
247Zadanie 10
247Zadanie 11
247Zadanie 12
247Zadanie 16
248Zadanie 17
248Zadanie 18
248Zadanie 1
249Zadanie 2
249Zadanie 3
249Zadanie 4
249Zadanie 5
249Zadanie 7
250Zadanie 10
250Zadanie 16
251Zadanie 21
252Zadanie 22
252Zadanie 1
253Zadanie 2
253Zadanie 3
253Zadanie 4
253Zadanie 9
254Zadanie 13
254Zadanie 21
255Zadanie 26
255Zadanie 1
256Zadanie 2
256Zadanie 3
256Zadanie 4
256Zadanie 7
256Zadanie 13
257Zadanie 14
257Zadanie 23
258Zadanie 24
258Zadanie 1
259Zadanie 2
259Zadanie 3
259Zadanie 8
260Zadanie 9
260Zadanie 12
260Zadanie 13
260Zadanie 14
260Zadanie 15
260Zadanie 23
261Zadanie 1
262Zadanie 5
262Zadanie 15
263Zadanie 3
265Zadanie 4
265Zadanie 7
266Zadanie 8
266Zadanie 14
266Zadanie 18
267Zadanie 20
267Zadanie 1
268Zadanie 2
268Zadanie 5
268Zadanie 7
269Zadanie 8
269Zadanie 9
269Zadanie 10
269Zadanie 11
269Zadanie 14
270Zadanie 16
270Zadanie 19
270Zadanie 20
271Zadanie 25
271Zadanie 28
271Zadanie 29
271Zadanie 30
272Zadanie 31
272Zadanie 37
272Zadanie 4
274