Zadanie

W tym zadaniu musisz znaleźć współczynnik kierunkowy stycznej do wykresu funkcji f w pewnym punkcie , licząc jego pochodną, a następnie określić, dla jakich argumentów styczna ta będzie nachylona do osi OX pod podanym kątem.

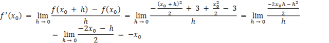
Rozwiązanie

Wyjaśnienie

Zadania z tego działu
4. Rachunek różniczkowy
204
4.10. Działania na pochodnych
242

Zadanie 1

242

Zadanie 2

242

Zadanie 4

242

Zadanie 5

242

Zadanie 6

242

Zadanie 7

242

Zadanie 8

242

Zadanie 9

243

Zadanie 10

243

Zadanie 11

243

Zadanie 13

243

Zadanie 14

243

Zadanie 15

243

Zadanie 18

244

Zadanie 19

244

Zadanie 20

244

Zadanie 21

244

Zadanie 22

244

Zadanie 23

244

Zadanie 26

245

Zadanie 28

245

Zadanie 30

245

Zadanie 31

245
Powtórzenie
268

Zadanie 1

268

Zadanie 2

268

Zadanie 5

268

Zadanie 7

269

Zadanie 8

269

Zadanie 9

269

Zadanie 10

269

Zadanie 11

269

Zadanie 14

270

Zadanie 16

270

Zadanie 19

270

Zadanie 20

271

Zadanie 25

271

Zadanie 28

271

Zadanie 29

271

Zadanie 30

272

Zadanie 31

272

Zadanie 37

272