W tym zadaniu musisz wymnożyć przez siebie nawiasy.
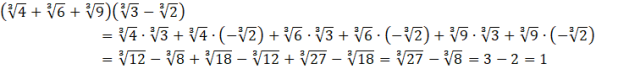
W tym zadaniu musisz przemnożyć każdy wyraz pierwszego nawiasu przez każdy wyraz drugiego. Na końcu musisz dodać do siebie wyrazy podobne i wyliczyć wartości pierwiastków.
Zadanie 1
46Zadanie 2
46Zadanie 3
46Zadanie 4
46Zadanie 5
46Zadanie 6
47Zadanie 7
47Zadanie 8
47Zadanie 9
47Zadanie 10
47Zadanie 11
47Zadanie 12
48Zadanie 13
48Zadanie 14
48Zadanie 15
48Zadanie 18
48Zadanie 1
49Zadanie 2
49Zadanie 3
49Zadanie 5
49Zadanie 6
49Zadanie 7
49Zadanie 8
50Zadanie 9
50Zadanie 11
50Zadanie 12
50Zadanie 13
50Zadanie 14
50Zadanie 17
51Zadanie 18
51Zadanie 20
51Zadanie 21
51Zadanie 22
51Zadanie 1
52Zadanie 2
52Zadanie 3
52Zadanie 4
52Zadanie 5
52Zadanie 8
52Zadanie 9
53Zadanie 10
53Zadanie 11
53Zadanie 13
53Zadanie 14
53Zadanie 15
53Zadanie 16
53Zadanie 17
54Zadanie 18
54Zadanie 21
54Zadanie 23
54Zadanie 1
55Zadanie 2
55Zadanie 3
55Zadanie 4
55Zadanie 5
55Zadanie 6
55Zadanie 7
55Zadanie 9
56Zadanie 10
56Zadanie 11
56Zadanie 12
56Zadanie 13
56Zadanie 14
56Zadanie 15
56Zadanie 16
56Zadanie 17
57Zadanie 18
57Zadanie 20
57Zadanie 22
57Zadanie 23
57Zadanie 24
57Zadanie 2
58Zadanie 3
58Zadanie 4
58Zadanie 5
58Zadanie 6
58Zadanie 7
58Zadanie 8
58Zadanie 10
59Zadanie 11
59Zadanie 13
59Zadanie 16
59Zadanie 20
60Zadanie 21
60Zadanie 1
61Zadanie 2
61Zadanie 3
61Zadanie 4
61Zadanie 6
61Zadanie 9
62Zadanie 10
62Zadanie 11
62Zadanie 12
62Zadanie 13
62Zadanie 14
62Zadanie 16
63Zadanie 17
63Zadanie 18
63Zadanie 19
63Zadanie 20
63Zadanie 21
63Zadanie 1
64Zadanie 2
64Zadanie 3
64Zadanie 4
64Zadanie 6
64Zadanie 7
65Zadanie 8
65Zadanie 10
65Zadanie 11
65Zadanie 12
65Zadanie 14
66Zadanie 15
66Zadanie 16
66Zadanie 17
66Zadanie 18
66Zadanie 20
66Zadanie 1
67Zadanie 2
67Zadanie 3
67Zadanie 4
67Zadanie 5
67Zadanie 7
67Zadanie 8
68Zadanie 9
68Zadanie 10
68Zadanie 11
68Zadanie 12
68Zadanie 13
69Zadanie 16
69Zadanie 17
69Zadanie 18
69Zadanie 1
70Zadanie 2
70Zadanie 3
70Zadanie 4
70Zadanie 6
70Zadanie 9
71Zadanie 10
71Zadanie 11
71Zadanie 12
71Zadanie 13
71Zadanie 16
71Zadanie 17
72Zadanie 18
72Zadanie 19
72Zadanie 20
72Zadanie 1
73Zadanie 2
73Zadanie 4
73Zadanie 5
73Zadanie 6
73Zadanie 7
73Zadanie 8
73Zadanie 9
74Zadanie 10
74Zadanie 11
74Zadanie 12
74Zadanie 13
74Zadanie 14
74Zadanie 15
74Zadanie 16
74Zadanie 17
74Zadanie 18
75Zadanie 19
75Zadanie 20
75Zadanie 21
75Zadanie 22
75Zadanie 23
75Zadanie 24
75Zadanie 25
75Zadanie 26
75Zadanie 27
75Zadanie 4
76Zadanie 5
76Zadanie 7
76Zadanie 8
76Zadanie 9
76Zadanie 10
77Zadanie 12
77Zadanie 13
77Zadanie 15
77Zadanie 16
77Zadanie 17
78Zadanie 19
78Zadanie 20
78Zadanie 21
78Zadanie 22
78Zadanie 26
79Zadanie 27
79Zadanie 28
79Zadanie 29
79Zadanie 32
79Zadanie 33
79Zadanie 34
80Zadanie 36
80Zadanie 37
80Zadanie 38
80Zadanie 39
80Zadanie 40
80