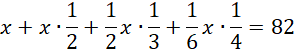
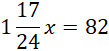
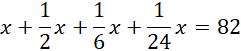
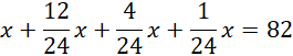
W tym zadaniu musisz ułożyć równanie na podstawie treści zadania oraz je rozwiązać.
x – długość trasy przebytej pierwszego dnia w km
Pierwszy dzień: 48 km
Drugi dzień:
Trzeci dzień:
Czwarty dzień:
Ułóż równanie na podstawie treści zadania. Oznacz długość trasy przebytej pierwszego dnia jako x. Dodaj do x kolejne dni, mnożąc każdy następny dzień tak, jak w treści zadania i przyrównaj do długości trasy przebytej przez 4 dni przez turystę. Rozwiąż równanie i wylicz długości tras przebytych w poszczególnych dniach.
Zadanie 1
98Zadanie 5
98Zadanie 15
99Zadanie 22
100Zadanie 1
101Zadanie 2
101Zadanie 4
101Zadanie 5
101Zadanie 9
102Zadanie 10
102Zadanie 12
102Zadanie 13
102Zadanie 15
102Zadanie 16
103Zadanie 17
103Zadanie 18
103Zadanie 19
103Zadanie 20
103Zadanie 22
103Zadanie 1
104Zadanie 2
104Zadanie 3
104Zadanie 4
104Zadanie 10
105Zadanie 11
104Zadanie 18
106Zadanie 19
106Zadanie 20
106Zadanie 21
106Zadanie 1
107Zadanie 2
107Zadanie 3
107Zadanie 6
107Zadanie 9
107Zadanie 12
108Zadanie 13
108Zadanie 17
108Zadanie 18
109Zadanie 19
109Zadanie 20
109Zadanie 21
109Zadanie 25
109Zadanie 28
109Zadanie 22
112Zadanie 2
113Zadanie 3
113Zadanie 4
113Zadanie 7
113Zadanie 8
113Zadanie 9
113Zadanie 10
114Zadanie 11
114