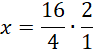
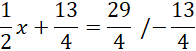
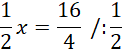
W tym zadaniu musisz rozwiązać równanie.
Rozwiąż równanie, odejmując, dodając, mnożąc lub dzieląc równania obustronnie tak, aby po jednej strony została niewiadoma x, a po drugiej liczby. Pamiętaj, że mnożenie to odwrócone dzielenie, dlatego możesz obracać ułamki, aby było łatwiej. Możesz także zamienić liczby mieszane na ułamki niewłaściwe, aby było łatwiej.
Zadanie 1
98Zadanie 5
98Zadanie 15
99Zadanie 22
100Zadanie 1
101Zadanie 2
101Zadanie 4
101Zadanie 5
101Zadanie 9
102Zadanie 10
102Zadanie 12
102Zadanie 13
102Zadanie 15
102Zadanie 16
103Zadanie 17
103Zadanie 18
103Zadanie 19
103Zadanie 20
103Zadanie 22
103Zadanie 1
104Zadanie 2
104Zadanie 3
104Zadanie 4
104Zadanie 10
105Zadanie 11
104Zadanie 18
106Zadanie 19
106Zadanie 20
106Zadanie 21
106Zadanie 1
107Zadanie 2
107Zadanie 3
107Zadanie 6
107Zadanie 9
107Zadanie 12
108Zadanie 13
108Zadanie 17
108Zadanie 18
109Zadanie 19
109Zadanie 20
109Zadanie 21
109Zadanie 25
109Zadanie 28
109Zadanie 22
112Zadanie 2
113Zadanie 3
113Zadanie 4
113Zadanie 7
113Zadanie 8
113Zadanie 9
113Zadanie 10
114Zadanie 11
114