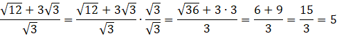
W tym zadaniu musisz pozbyć się niewymierności z ułamka
.
Aby pozbyć się niewymierności z ułamka, mnożymy licznik i mianownik, przez pierwiastek znajdujący się w mianowniku.
Zadanie 6.
8Zadanie 7.
8Zadanie 8.
8Zadanie 9.
8Zadanie 10.
8Ćwiczenie 1.
9Ćwiczenie 2.
10Ćwiczenie 3.
11Ćwiczenie 4.
11Ćwiczenie 5.
12Ćwiczenie 6.
13Ćwiczenie 7.
13Zadanie 1.
14Zadanie 2.
14Zadanie 3.
14Zadanie 5.
14Zadanie 6.
14Zadanie 7.
14Zadanie 9.
15Zadanie 10.
15Zadanie 11.
15Zadanie 12.
15Zadanie 13.
15Zadanie 14.
15Zadanie 15.
15Zadanie 23.
16Zadanie 24.
16Zadanie 25.
16Zadanie 26.
16Zadanie 27.
16Zadanie 28.
16Zadanie 30.
17Zadanie 31.
17Zadanie 33.
17Ćwiczenie 1.
19Ćwiczenie 2.
19Ćwiczenie 3.
20Ćwiczenie 4.
20Zadanie 1.
21Zadanie 2.
21Zadanie 3.
21Zadanie 4.
22Zadanie 5.
22Zadanie 7.
22Zadanie 9.
22Zadanie 10.
22Zadanie 11.
22Zadanie 12.
22Zadanie 13.
22Zadanie 14.
22Zadanie 15.
22Zadanie 21.
22Zadanie Czy już potrafisz? 2.
22Ćwiczenie 1.
25Ćwiczenie 2.
25Ćwiczenie 3.
26Ćwiczenie 4.
27Ćwiczenie 5.
27Ćwiczenie 6.
28Zadanie 1.
28Zadanie 2.
28Zadanie 3.
28Zadanie 4.
28Zadanie 5.
28Zadanie 6.
28Zadanie 7.
28Zadanie 8.
28Zadanie 9.
29Zadanie 10.
29Zadanie 11.
29Zadanie 12.
28Zadanie 14.
29Zadanie 15.
29Zadanie 21.
30Zadanie Czy już potrafisz? 4.
30Zadanie Czy już potrafisz? 5.
30Ćwiczenie 2.
32Ćwiczenie 3.
33Ćwiczenie 4.
33Zadanie 1.
34Zadanie 2.
34Zadanie 3.
34Zadanie 4.
34Zadanie 5.
34Zadanie 7.
34Zadanie 8.
34Zadanie 9.
34Zadanie 10.
34Zadanie 11.
35Zadanie 17.
35Zadanie 5.
36Zadanie 6.
36Zadanie 7.
36Zadanie 8.
36Zadanie 9.
36Zadanie 10.
36Zadanie 12.
37Zadanie 13.
37Zadanie 16.
37Zadanie 17.
37Zadanie 18.
37Zadanie 19.
37Zadanie 20.
37Zadanie 21.
37Zadanie 22.
37Zadanie 23.
37Zadanie 25.
38Zadanie 26.
38Zadanie 28.
38Zadanie 31.
38Zadanie 32.
38