Zadanie

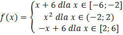
W tym zadaniu musisz naszkicować wykres funkcji , a następnie odpowiednio przekształcić go do uzyskania wykresu funkcji . Odczytaj miejsca zerowe funkcji .

Rozwiązanie

Wyjaśnienie

Zadania z tego działu
4. Funkcje
107
4.4 Monotoniczność funkcji
122

Zadanie 1

122

Zadanie 2

122

Zadanie 3

122

Zadanie 4

122

Zadanie 6

123

Zadanie 7

123

Zadanie 8

123

Zadanie 10

123

Zadanie 11

124

Zadanie 12

124

Zadanie 14

124

Zadanie 15

124

Zadanie 16

125

Zadanie 17

125

Zadanie 18

125

Zadanie 19

125

Zadanie 20

125

Zadanie 21

125

Zadanie 22

125

Zadanie 24

126

Zadanie 25

126

Zadanie 26

126

Zadanie 27

126

Zadanie 28

126

Zadanie 29

126

Zadanie 30

126
4.6. Odczytywanie własności funkcji z wykresu (2)
133

Zadanie 1

133

Zadanie 2

133

Zadanie 3

133

Zadanie 4

133

Zadanie 5

134

Zadanie 6

134

Zadanie 7

134

Zadanie 8

135

Zadanie 9

135

Zadanie 10

135

Zadanie 11

136

Zadanie 12

136

Zadanie 13

136

Zadanie 14

136

Zadanie 15

137

Zadanie 16

137

Zadanie 17

137

Zadanie 18

137

Zadanie 19

137

Zadanie 20

138

Zadanie 21

138

Zadanie 22

138

Zadanie 23

138

Zadanie 24

138
Powtórzenie
163

Zadanie 1

163

Zadanie 2

163

Zadanie 4

163

Zadanie 5

163

Zadanie 6

164

Zadanie 9

164

Zadanie 10

164

Zadanie 11

164

Zadanie 12

164

Zadanie 14

165

Zadanie 15

165

Zadanie 16

165

Zadanie 17

165

Zadanie 19

166

Zadanie 23

166

Zadanie 27

167

Zadanie 28

167

Zadanie 29

167

Zadanie 32

167

Zadanie 33

168

Zadanie 35

168

Zadanie 37

168
To było na maturze
170