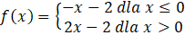
W tym zadaniu musisz naszkicować wykres funkcji
Tabelka częściowa dla pierwszego wyrażenia funkcji
![]() | -3 | 0 |
![]() | 1 | -2 |
Tabelka częściowa dla drugiego wyrażenia funkcji
![]() | 0 | 2 |
![]() | -2 | 2 |
Wykres:
Funkcja
Zadanie 2
109Zadanie 3
109Zadanie 4
109Zadanie 5
109Zadanie 7
110Zadanie 8
110Zadanie 9
110Zadanie 11
111Zadanie 12
111Zadanie 15
111Zadanie 18
112Zadanie 20
112Zadanie 27
113Zadanie 2
114Zadanie 3
114Zadanie 8
115Zadanie 9
115Zadanie 12
116Zadanie 13
116Zadanie 20
117Zadanie 21
117Zadanie 23
117Zadanie 25
117Zadanie 2
118Zadanie 3
118Zadanie 4
118Zadanie 5
118Zadanie 7
119Zadanie 8
119Zadanie 10
119Zadanie 14
120Zadanie 15
120Zadanie 16
120Zadanie 17
121Zadanie 19
121Zadanie 20
121Zadanie 21
121Zadanie 24
121Zadanie 1
122Zadanie 2
122Zadanie 3
122Zadanie 4
122Zadanie 6
123Zadanie 7
123Zadanie 8
123Zadanie 10
123Zadanie 11
124Zadanie 12
124Zadanie 14
124Zadanie 15
124Zadanie 16
125Zadanie 17
125Zadanie 18
125Zadanie 19
125Zadanie 20
125Zadanie 21
125Zadanie 22
125Zadanie 24
126Zadanie 25
126Zadanie 26
126Zadanie 27
126Zadanie 28
126Zadanie 29
126Zadanie 30
126Zadanie 1
127Zadanie 2
127Zadanie 3
127Zadanie 4
127Zadanie 5
128Zadanie 6
128Zadanie 7
128Zadanie 8
129Zadanie 10
129Zadanie 11
129Zadanie 12
130Zadanie 13
130Zadanie 14
131Zadanie 15
131Zadanie 16
132Zadanie 17
132Zadanie 18
132Zadanie 19
132Zadanie 20
132Zadanie 1
133Zadanie 2
133Zadanie 3
133Zadanie 4
133Zadanie 5
134Zadanie 6
134Zadanie 7
134Zadanie 8
135Zadanie 9
135Zadanie 10
135Zadanie 11
136Zadanie 12
136Zadanie 13
136Zadanie 14
136Zadanie 15
137Zadanie 16
137Zadanie 17
137Zadanie 18
137Zadanie 19
137Zadanie 20
138Zadanie 21
138Zadanie 22
138Zadanie 23
138Zadanie 24
138Zadanie 1
139Zadanie 2
139Zadanie 4
139Zadanie 5
139Zadanie 6
140Zadanie 8
140Zadanie 10
140Zadanie 11
140Zadanie 15
141Zadanie 16
141Zadanie 17
141Zadanie 21
142Zadanie 22
142Zadanie 23
142Zadanie 29
143Zadanie 1
144Zadanie 3
144Zadanie 4
144Zadanie 5
144Zadanie 7
145Zadanie 11
145Zadanie 14
146Zadanie 17
146Zadanie 18
146Zadanie 22
147Zadanie 24
147Zadanie 25
148Zadanie 30
148Zadanie 31
148Zadanie 32
148Zadanie 2
149Zadanie 4
149Zadanie 18
151Zadanie 19
152Zadanie 24
153Zadanie 28
153Zadanie 29
153Zadanie 2
154Zadanie 3
154Zadanie 8
155Zadanie 10
155Zadanie 12
156Zadanie 13
156Zadanie 14
156Zadanie 15
156Zadanie 20
157Zadanie 22
158Zadanie 25
158Zadanie 28
159Zadanie 29
159Zadanie 2
160Zadanie 3
160Zadanie 4
160Zadanie 6
160Zadanie 10
161Zadanie 12
161Zadanie 15
161Zadanie 18
162Zadanie 20
162Zadanie 21
162Zadanie 1
163Zadanie 2
163Zadanie 4
163Zadanie 5
163Zadanie 6
164Zadanie 9
164Zadanie 10
164Zadanie 11
164Zadanie 12
164Zadanie 14
165Zadanie 15
165Zadanie 16
165Zadanie 17
165Zadanie 19
166Zadanie 23
166Zadanie 27
167Zadanie 28
167Zadanie 29
167Zadanie 32
167Zadanie 33
168Zadanie 35
168Zadanie 37
168