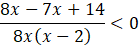
Zadanie

W tym zadaniu musisz rozwiązać nierówność: .

Rozwiązanie

Wyjaśnienie

Zadania z tego działu
Wyrażenia wymierne
9
Wyrażenia wymierne
10

Ćwiczenie A.

10

Ćwiczenie C.

11

Przykład 2.

11

Przykład 3.

12

Zadanie 1.

12

Zadanie 3.

12

Zadanie 4.

13

Zadanie 5.

13

Zadanie 6.

13

Zadanie 7.

13

Zadanie 8.

13

Zadanie 9.

14

Zadanie 10.

14

Zadanie 11.

14

Zadanie 12.

14

Zadanie 13.

14

Zadanie 14.

14

Zadanie 15.

15

Zadanie 16.

15
Równania wymierne
16

Przykład 2.

18

Zadanie 1.

16

Zadanie 2.

16

Zadanie 3.

16

Zadanie 4.

18

Zadanie 5.

19

Zadanie 6.

19

Zadanie 7.

19

Zadanie 8.

19

Zadanie 9.

19

Zadanie 10.

20

Zadanie 11.

20

Zadanie 12.

20

Zadanie 14.

20

Zadanie 15.

20

Zadanie 16.

21
Funkcje wymierne
38