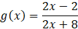
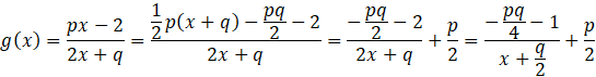
W tym zadaniu musisz znaleźć wartości p i q, jeśli asymptoty wykresu
Przekształć wzór funkcji do postaci kanonicznej, aby określić p i q.
Ćwiczenie A.
10Ćwiczenie C.
11Przykład 2.
11Przykład 3.
12Zadanie 1.
12Zadanie 3.
12Zadanie 4.
13Zadanie 5.
13Zadanie 6.
13Zadanie 7.
13Zadanie 8.
13Zadanie 9.
14Zadanie 10.
14Zadanie 11.
14Zadanie 12.
14Zadanie 13.
14Zadanie 14.
14Zadanie 15.
15Zadanie 16.
15Przykład 2.
18Zadanie 1.
16Zadanie 2.
16Zadanie 3.
16Zadanie 4.
18Zadanie 5.
19Zadanie 6.
19Zadanie 7.
19Zadanie 8.
19Zadanie 9.
19Zadanie 10.
20Zadanie 11.
20Zadanie 12.
20Zadanie 14.
20Zadanie 15.
20Zadanie 16.
21Przykład 1.
23Zadanie 1.
23Zadanie 2.
23Zadanie 3.
24Zadanie 4.
24Zadanie 5.
24Zadanie 6.
24Zadanie 7.
24Zadanie 8.
25Zadanie 9.
25Zadanie 10.
25Zadanie 11.
25Przykład 2.
27Zadanie 1.
28Zadanie 2.
28Zadanie 3.
28Zadanie 4.
28Zadanie 5.
29Zadanie 6.
29Zadanie 7.
29Zadanie 2.
33Zadanie 3.
34Zadanie 4.
34Zadanie 5.
34Zadanie 6.
34Zadanie 7.
34Zadanie 10.
35Zadanie 11.
35Zadanie 12.
35Zadanie 13.
35Zadanie 15.
36Zadanie 16.
36Zadanie 18.
36Zadanie 19.
36Zadanie 21.
37Zadanie 22.
37Ćwiczenie A.
39Przykład 1.
39Ćwiczenie C.
42Zadanie 1.
43Zadanie 2.
44Zadanie 3.
44Zadanie 4.
44Zadanie 5.
44Zadanie 7.
44Zadanie 8.
45Zadanie 9.
45Zadanie 10.
45Zadanie 11.
45Zadanie 12.
45Zadanie 13.
45Zadanie 14.
45Zadanie 15.
46Zadanie 16.
46Zadanie 18.
46Zadanie 1.
48Zadanie 2.
48Zadanie 3.
48Zadanie 4.
48Zadanie 5.
48Zadanie 8.
48Zadanie 12.
48