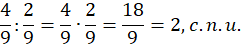
W tym zadaniu musisz uzasadnić, że: 0,(4) : 0,(2) = 2.
x = 0,(4) /
10x = 4,(4)
10x = 4 + 0,(4)
10x – x = 4
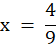
9x = 4 / : 9
x = 0,(2) /
10x = 2,(2)
10x = 2 + 0,(2)
10x – x = 2
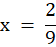
9x = 2 / : 9
Załóż, że x = 0,(4), następnie pomnóż obie strony razy 10. 0,(4) = 0,444…, więc 0,444…
Ćwiczenie 2.
47Ćwiczenie 3.
47Ćwiczenie 7.
49Ćwiczenie 11.
51Ćwiczenie 12.
51Zadanie 3.1.
52Zadanie 3.4.
52Zadanie 3.7.
53Ćwiczenie 14.
54Ćwiczenie 15.
55Zadanie 3.10.
55Zadanie 3.11.
55Zadanie 3.12.
55Zadanie 3.14.
55Ćwiczenie 16.
57Ćwiczenie 18.
57Ćwiczenie 19.
57Ćwiczenie 20.
57Ćwiczenie 21.
58Ćwiczenie 22.
58Ćwiczenie 23.
59Ćwiczenie 24.
59Ćwiczenie 25.
59Ćwiczenie 26.
59Ćwiczenie 27.
60Zadanie 3.15.
61Zadanie 3.16.
61Zadanie 3.19.
61Zadanie 3.20.
61Zadanie 3.21.
61Zadanie 3.22.
61Zadanie 3.23.
61Zadanie 3.24.
61Ćwiczenie 28.
62Ćwiczenie 30.
63Ćwiczenie 31.
63Ćwiczenie 33.
64Zadanie 3.25.
64Zadanie 3.26.
64Zadanie 3.27.
65Zadanie 3.28.
65Ćwiczenie 36.
67Ćwiczenie 37.
67Zadanie 3.30.
67Zadanie 3.31.
68Zadanie 3.39.
68Zadanie 3.40.
68Ćwiczenie 38.
69Ćwiczenie 39.
69Ćwiczenie 40.
71Ćwiczenie 41.
71Ćwiczenie 42.
71Ćwiczenie 43.
72Zadanie 3.43.
72Zadanie 3.44.
72Zadanie 3.45.
73Zadanie 3.46.
73Zadanie 3.47.
73Zadanie 3.48.
73Zadanie 3.49.
73Zadanie 3.50.
73Zadanie 3.52.
73Zadanie 3.53.
73Ćwiczenie 44.
74Ćwiczenie 45.
75Zadanie 3.54.
76Zadanie 3.55.
76Zadanie 3.56.
76Zadanie 3.57.
76Zadanie 3.59.
76Zadanie 3.60.
76Zadanie 9.
78Zadanie 10.
78Ćwiczenie 1.
46