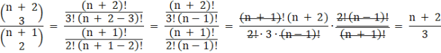
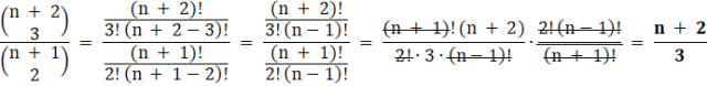
W tym zadaniu musisz doprowadzić wyrażenie do prostszej postaci, używając wzoru na kombinacje.
Skorzystaj ze wzoru:
Zadanie 3.5.
47Zadanie 3.6.
47Zadanie 3.10.
48Zadanie 3.12.
48Zadanie 3.14.
48Zadanie 3.15.
48Zadanie 3.17.
49Zadanie 3.18.
49Zadanie 3.19.
49Zadanie 3.20.
49Zadanie 3.21.
49Zadanie 3.22.
49Zadanie 3.23.
50Zadanie 3.25.
50Zadanie 3.26.
50Zadanie 3.27.
50Zadanie 3.28.
50Zadanie 3.30.
50Zadanie 3.33.
50Zadanie 3.36.
51Zadanie 3.40.
51Zadanie 3.41.
51Zadanie 3.43.
51Zadanie 3.44.
51Zadanie 3.45.
51Zadanie 3.46.
52Zadanie 3.47.
52Zadanie 3.48.
52Zadanie 3.50.
52Zadanie 3.51.
52Zadanie 3.52.
52Zadanie 3.58.
53Zadanie 3.59.
53Zadanie 3.60.
53Zadanie 3.61
53Zadanie 3.62.
53Zadanie 3.65.
54Zadanie 3.67.
54Zadanie 3.68.
54Zadanie 3.69.
54Zadanie 3.70.
54Zadanie 3.71.
54Zadanie 3.72.
55Zadanie 3.73.
55Zadanie 3.74.
55Zadanie 3.75.
55Zadanie 3.76.
55Zadanie 3.77.
55Zadanie 3.78.
56Zadanie 3.79.
56Zadanie 3.80.
56Zadanie 3.81.
56Zadanie 3.82.
57Zadanie 3.83.
57Zadanie 3.86.
57Zadanie 3.90.
57Zadanie 3.92.
58Zadanie 3.93.
58Zadanie 3.94.
58Zadanie 3.95.
58Zadanie 3.96.
58Zadanie 3.97.
59Zadanie 3.98.
59Zadanie 3.99.
59Zadanie 3.100.
59Zadanie 13.
61Zadanie 14.
61Zadanie 16.
61Zadanie 17
61Zadanie 18.
61Zadanie 19.
62Zadanie 20.
62Zadanie 21.
62Zadanie 22.
62Zadanie 23.
62Zadanie 24.
62