Musisz skrócić ułamek do takiego o podanym mianowniku lub liczniku.
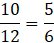
10: 5 = 2
12 : 2 = 6
Skracanie ułamków polega na dzieleniu zarówno licznika, jak i mianownika przez tę samą liczbę całkowitą. Znając mianownik lub licznik skróconego ułamka, możesz określić drugą jego część w następujący sposób. Jeśli znany jest mianownik skróconego ułamka, to podziel mianownik oryginalnego ułamka przez mianownik skróconego. Następnie podziel drugą część oryginalnego ułamka przez ten iloraz. Jeśli znany jest licznik skróconego ułamka, to zrób to samo, tylko zamiast mianownika używaj licznika.
Zadanie 1.
63Zadanie 2.
63Zadanie 3.
63Zadanie 5.
64Zadanie 6.
64Zadanie 7.
64Zadanie 8.
64Zadanie 9.
64Zadanie 10.
64Zadanie 11.
65Zadanie 12.
65Zadanie 14.
65Zadanie 15.
65Zadanie 16.
65Zadanie 21.
66Zadanie 22.
66Zadanie 24.
67Zadanie 26.
67Zadanie 28.
67Zadanie 31.
67Zadanie 32.
68Zadanie 33.
68Zadanie 34.
68Zadanie 35.
68Zadanie 36.
68Zadanie 37.
68Zadanie 38.
68Zadanie 39.
68Zadanie 41.
69Zadanie 43.
69Zadanie 44
69Zadanie 45.
69Zadanie 46.
69Zadanie 47.
69Zadanie 50.
70Zadanie 51.
70Zadanie 52.
70Zadanie 53.
70Zadanie *54.
70Zadanie 56.
70Zadanie 57.
71Zadanie 58.
71Zadanie 59.
71Zadanie 60.
71Zadanie 63.
72Zadanie 67.
72Zadanie 68.
72Zadanie 69.
73Zadanie 70.
73Zadanie 3.
74Zadanie 4.
74