Musisz rozszerzyć podany ułamek do takiego o podanym mianowniku.
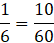
60 : 6 = 10
1 · 10 = 10
Rozszerzanie ułamków polega na pomnożeniu zarówno licznika, jak i mianownika przez tę samą liczbę całkowitą. Znając mianownik rozszerzonego ułamka, możesz stwierdzić, przez jaką liczbę został on pomnożony, dzieląc go przez mianownik oryginalnego ułamka. Następnie licznik pomnóż przez ten iloraz, aby otrzymać licznik rozszerzonego ułamka.
Zadanie 1.
63Zadanie 2.
63Zadanie 3.
63Zadanie 5.
64Zadanie 6.
64Zadanie 7.
64Zadanie 8.
64Zadanie 9.
64Zadanie 10.
64Zadanie 11.
65Zadanie 12.
65Zadanie 14.
65Zadanie 15.
65Zadanie 16.
65Zadanie 21.
66Zadanie 22.
66Zadanie 24.
67Zadanie 26.
67Zadanie 28.
67Zadanie 31.
67Zadanie 32.
68Zadanie 33.
68Zadanie 34.
68Zadanie 35.
68Zadanie 36.
68Zadanie 37.
68Zadanie 38.
68Zadanie 39.
68Zadanie 41.
69Zadanie 43.
69Zadanie 44
69Zadanie 45.
69Zadanie 46.
69Zadanie 47.
69Zadanie 50.
70Zadanie 51.
70Zadanie 52.
70Zadanie 53.
70Zadanie *54.
70Zadanie 56.
70Zadanie 57.
71Zadanie 58.
71Zadanie 59.
71Zadanie 60.
71Zadanie 63.
72Zadanie 67.
72Zadanie 68.
72Zadanie 69.
73Zadanie 70.
73Zadanie 3.
74Zadanie 4.
74