Musisz zamienić podane ułamki niewłaściwe na liczby mieszane albo liczby naturalne.
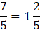
7 : 5 = 1 r. 2
Aby zamienić ułamek niewłaściwy na liczbę mieszaną, wykonaj dzielenie z resztą na liczniku i mianowniku. Iloraz to będzie część całkowita liczby mieszanej. Jeśli reszta jest równa 0, to wynikiem będzie sama liczba całkowita, jeśli natomiast reszta jest większa od zera, to zapisz ją jako licznik ułamka o mianowniku ułamka niewłaściwego.
Zadanie 1.
63Zadanie 2.
63Zadanie 3.
63Zadanie 5.
64Zadanie 6.
64Zadanie 7.
64Zadanie 8.
64Zadanie 9.
64Zadanie 10.
64Zadanie 11.
65Zadanie 12.
65Zadanie 14.
65Zadanie 15.
65Zadanie 16.
65Zadanie 21.
66Zadanie 22.
66Zadanie 24.
67Zadanie 26.
67Zadanie 28.
67Zadanie 31.
67Zadanie 32.
68Zadanie 33.
68Zadanie 34.
68Zadanie 35.
68Zadanie 36.
68Zadanie 37.
68Zadanie 38.
68Zadanie 39.
68Zadanie 41.
69Zadanie 43.
69Zadanie 44
69Zadanie 45.
69Zadanie 46.
69Zadanie 47.
69Zadanie 50.
70Zadanie 51.
70Zadanie 52.
70Zadanie 53.
70Zadanie *54.
70Zadanie 56.
70Zadanie 57.
71Zadanie 58.
71Zadanie 59.
71Zadanie 60.
71Zadanie 63.
72Zadanie 67.
72Zadanie 68.
72Zadanie 69.
73Zadanie 70.
73Zadanie 3.
74Zadanie 4.
74