W tym zadaniu musisz obliczyć
i
, wiedząc, że wielomian
jest podzielny przez wielomian
.
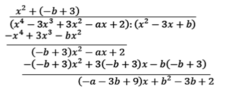
Zatem:
Wielomian
jest podzielny przez wielomian
, gdy
lub
.
Wykonaj dzielenie pisemne
:
, a następnie przyrównaj współczynniki do zera i rozwiąż układ równań, jak przedstawiono w rozwiązaniu.
Zadanie 2
223Zadanie 3
223Zadanie 4
223Zadanie 5
223Zadanie 6
224Zadanie 7
224Zadanie 8
224Zadanie 9
224Zadanie 18
225Zadanie 19
225Zadanie 23
225Zadanie 24
226Zadanie 25
226Zadanie 26
226Zadanie 27
226Zadanie 28
226Zadanie 29
226Zadanie 30
226Zadanie 31
227Zadanie 32
227Zadanie 33
227Zadanie 34
227Zadanie 37
227Zadanie 38
228Zadanie 39
228Zadanie 40
228Zadanie 41
228Zadanie 42
228Zadanie 43
228Zadanie 46
229Zadanie 47
229Zadanie 48
229Zadanie 49
229Zadanie 50
229Zadanie 51
230Zadanie 52
230Zadanie 53
230Zadanie 54
230Zadanie 55
230Zadanie 56
230Zadanie 57
231Zadanie 58
231Zadanie 79
232Zadanie 81
233Zadanie 84
233Zadanie 87
233Zadanie 89
234Zadanie 94
234Zadanie 103
235Zadanie 107
235Zadanie 108
236Zadanie 109
236Zadanie 110
236Zadanie 111
236Zadanie 112
236Zadanie 113
236Zadanie 114
237Zadanie 115
237Zadanie 116
237Zadanie 117
237Zadanie 118
237Zadanie 123
238Zadanie 124
238Zadanie 125
238Zadanie 126
238Zadanie 141
240Zadanie 142
240Zadanie 143
240Zadanie 144
240Zadanie 145
241Zadanie 146
241Zadanie 147
241Zadanie 148
241Zadanie 149
241Zadanie 150
242Zadanie 151
242Zadanie 152
242Zadanie 153
242Zadanie 158
243Zadanie 159
243Zadanie 162
243Zadanie 165
243Zadanie 166
244Zadanie 169
244Zadanie 171
244Zadanie 174
244Zadanie 175
245Zadanie 176
245Zadanie 177
245Zadanie 178
245Zadanie 179
245Zadanie 182
246Zadanie 183
246Zadanie 184
246Zadanie 187
246Zadanie 188
246Zadanie 189
246Zadanie 190
247Zadanie 191
247Zadanie 192
247Zadanie 193
247Zadanie 196
247Zadanie 197
248Zadanie 198
248Zadanie 199
248Zadanie 200
248Zadanie 201
248Zadanie 202
248Zadanie 203
248Zadanie 204
249Zadanie 205
249Zadanie 206
249Zadanie 207
249Zadanie 208
249Zadanie 209
249Zadanie 210
249Zadanie 211
249Zadanie 212
250Zadanie 213
250Zadanie 214
250Zadanie 215
250Zadanie 216
250Zadanie 217
250Zadanie 218
250Zadanie 219
251Zadanie 220
251Zadanie 221
251Zadanie 222
251Zadanie 223
251Zadanie 224
251Zadanie 225
251Zadanie 226
252Zadanie 227
252Zadanie 228
252Zadanie 229
252Zadanie 230
252Zadanie 231
252Zadanie 233
253Zadanie 234
253Zadanie 236
253Zadanie 270
256Zadanie 271
256Zadanie 272
257Zadanie 273
257Zadanie 274
257Zadanie 275
257Zadanie 276
258Zadanie 278
258Zadanie 279
259Zadanie 280
259Zadanie 281
259Zadanie 282
260Zadanie 283
260Zadanie 284
260Zadanie 285
260Zadanie 286
261Zadanie 287
261Zadanie 288
261Zadanie 289
261Zadanie 290
261Zadanie 291
261Zadanie 18
264Zadanie 19
264Zadanie 20
264Zadanie 22
264Zadanie 23
264Zadanie 25
265Zadanie 28
265Zadanie 34
265Zadanie 37
265Zadanie 40
266Zadanie 41
266Zadanie 42
266Zadanie 43
266Zadanie 49
267