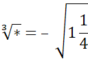
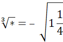
Co kryje się pod gwiazdką?
Skorzystaj z definicji pierwiastka:
Zadanie 6.
153Zadanie 7.
153Zadanie 8.
153Zadanie 9.
153Zadanie 12.
154Zadanie 13.
154Zadanie 14.
154Zadanie 15.
154Zadanie 17.
154Zadanie 21.
154Ćwiczenie 14.
155Zadanie 5.
157Zadanie 8.
157Zadanie 9.
158Zadanie 10.
158Zadanie 12.
158Zadanie 15.
158Zadanie 16.
159Zadanie 17.
159Zadanie 18.
159Zadanie 19.
159Zadanie 20.
159Zadanie 28.
160Zadanie 1.
163Zadanie 4.
163Zadanie 9.
163Zadanie 10.
163Zadanie 11.
163Zadanie 12.
164Zadanie 13.
164Zadanie 14.
164Zadanie 15.
164Zadanie 16.
164Zadanie 17.
164Zadanie 18.
164Zadanie 20.
164Zadanie 2.
167Zadanie 3.
167Zadanie 9.
168