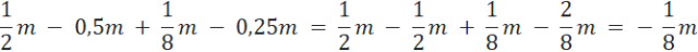
W tym zadaniu musisz dokonać redukcji wyrazów podobnych.
Zadanie 3.
165Zadanie 5.
166Zadanie 8.
166Zadanie 9.
167Zadanie 13.
167Ćwiczenie Wyzwanie
168Zadanie 1.
169Zadanie 2.
169Zadanie 4.
170Zadanie 6.
170Zadanie 7.
170Zadanie 8.
171Zadanie 9.
171Zadanie 1.
172Zadanie 2.
172Zadanie 3.
172Zadanie 4.
173Zadanie 5.
173Zadanie 6.
173Zadanie 13.
174Zadanie 1.
176Zadanie 2.
176Zadanie 3.
176Zadanie 4.
176Zadanie 5.
177Zadanie 6.
177Zadanie 10.
177Zadanie 13.
177Ćwiczenie Ćwiczenie 2.
178Zadanie 1.
179Zadanie 2.
179Zadanie 3.
179Zadanie 6.
180Zadanie 7.
180Zadanie 8.
180Zadanie 10.
180Zadanie 12.
181Zadanie 1.
182Zadanie 2.
182Zadanie 3.
182Zadanie 5.
182Zadanie 6.
182Zadanie 7.
182Ćwiczenie Ćwiczenie 1.
183Ćwiczenie Ćwiczenie 4.
183Zadanie 1.
184Zadanie 2.
184Zadanie 3.
184Zadanie 4.
184Zadanie 6.
184