W tym zadaniu musisz ułożyć kilka kolejnych liczb trójkątnych i wykonać podane polecenie.
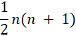
Zauważmy, że każda kolejna liczba trójkątna rośnie o kolejną liczbę naturalną, między 3 a 1 różnica wynosi 2, między 6 a 3 różnica wynosi 3, między 10 a 6 różnica wynosi 4, więc następna liczba trójkątna jest zwiększona o 5 od 10 itd. Można to zapisać w sposób ogólny za pomocą wyrażenia algebraicznego.
n – numer liczby trójkątnej
L – liczba trójkątna
Wyprowadzimy wzór na n-tą liczbę trójkątną w sposób graficzny:
Zadanie 3.
165Zadanie 5.
166Zadanie 8.
166Zadanie 9.
167Zadanie 13.
167Ćwiczenie Wyzwanie
168Zadanie 1.
169Zadanie 2.
169Zadanie 4.
170Zadanie 6.
170Zadanie 7.
170Zadanie 8.
171Zadanie 9.
171Zadanie 1.
172Zadanie 2.
172Zadanie 3.
172Zadanie 4.
173Zadanie 5.
173Zadanie 6.
173Zadanie 13.
174Zadanie 1.
176Zadanie 2.
176Zadanie 3.
176Zadanie 4.
176Zadanie 5.
177Zadanie 6.
177Zadanie 10.
177Zadanie 13.
177Ćwiczenie Ćwiczenie 2.
178Zadanie 1.
179Zadanie 2.
179Zadanie 3.
179Zadanie 6.
180Zadanie 7.
180Zadanie 8.
180Zadanie 10.
180Zadanie 12.
181Zadanie 1.
182Zadanie 2.
182Zadanie 3.
182Zadanie 5.
182Zadanie 6.
182Zadanie 7.
182Ćwiczenie Ćwiczenie 1.
183Ćwiczenie Ćwiczenie 4.
183Zadanie 1.
184Zadanie 2.
184Zadanie 3.
184Zadanie 4.
184Zadanie 6.
184