a) Zegar w ciągu 8 godzin spóźnia się o 1 minutę. Jakie jest spóźnienie zegara w ciągu doby?
| Czas | 8 h | 1 doba = 24 h |
| Spóźnienie | 1 min | 3 min |
b) 5 litrów wody morskiej waży 5,125 kg. Ile waży 16 litrów tej wody?
| Ilość wody morskiej (l) | 5 | 16 |
| Waga wody morskiej (kg) | 5,125 | 16,4 |
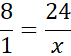
a) (860) : 1 = (2460) : x
480 = 1440 : x
480x = 1440
x = 3
b) 5 : 5,125 = 16 : x
5x = 82
x = 16,4