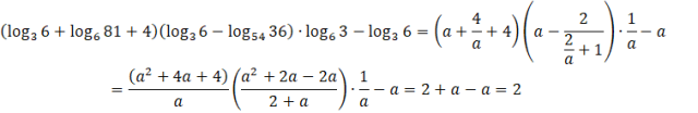
Udowodnij prawdziwość przedstawionej równości.
Zamień logarytm na niewiadomą i uprość wyrażenie.
Zadanie 1.1.
366Zadanie 1.2.
366Zadanie 1.3.
366Zadanie 1.4.
367Zadanie 1.5.
367Zadanie 1.6.
367Zadanie 1.7.
367Zadanie 1.8.
367Zadanie 1.9.
367Zadanie 1.11.
367Zadanie 2.4.
374Zadanie 2.5.
374Zadanie 2.6.
375Zadanie 2.7.
375Zadanie 2.8.
375Zadanie 2.13.
375Zadanie 2.14.
375Zadanie 2.15.
375Zadanie 2.16.
376Zadanie 2.17.
376Zadanie 2.18.
376Zadanie 2.19.
376Zadanie 2.20.
376Zadanie 2.23.
377Zadanie 4.
377Zadanie 5.
377Zadanie 3.1.
380Zadanie 3.2.
380Zadanie 3.3.
380Zadanie 3.4.
380Zadanie 3.5.
380Zadanie 4.4.
386Zadanie 4.5.
387Zadanie 4.6.
387Zadanie 4.7.
387Zadanie 4.8.
387Zadanie 4.9.
387Zadanie 4.10.
387Zadanie 4.11.
388Zadanie 4.12.
388Zadanie 4.13.
388Zadanie 4.14.
388Zadanie 4.17.
388Zadanie 4.18.
388Zadanie 4.20.
388Zadanie 4.22.
389Zadanie 5.4.
396Zadanie 5.5.
397Zadanie 5.6.
397Zadanie 5.7.
397Zadanie 5.8.
397Zadanie 5.9.
397Zadanie 5.10.
397Zadanie 5.11.
397Zadanie 5.14.
398Zadanie 5.15.
398Zadanie 5.16.
398Zadanie 6.5.
402Zadanie 6.6.
402Zadanie 6.7.
403Zadanie 6.8.
403Zadanie 6.9.
403Zadanie 6.10.
403Zadanie 6.11.
403Zadanie 7.5.
408Zadanie 7.6.
408Zadanie 7.7.
408Zadanie 7.8.
408Zadanie 7.9.
408Zadanie 7.10.
408Zadanie 7.13.
408Zadanie 41.
414Zadanie 42.
414Zadanie 45.
414Zadanie 46.
414Zadanie 48.
415Zadanie 49.
415Zadanie 50.
415Zadanie 51.
415Zadanie 52.
415Zadanie 56.
416Zadanie 57.
416Zadanie 58.
416Zadanie 59.
416Zadanie 60.
416Zadanie 63.
416Zadanie 64.
417Zadanie 65.
417Zadanie 66.
417Zadanie 67.
417Zadanie 68.
417Zadanie 71.
417