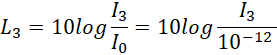
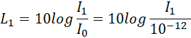
Musisz obliczyć natężenia głośności dla podanych sytuacji oraz porównać ich wielkości.
Ruchliwa ulica ma 1 000 000 razy większe natężenie głośności od szeptu.
Ćwiczenie 1
60Ćwiczenie 2
61Ćwiczenie 3
62Ćwiczenie 4
62Ćwiczenie 6
63Zadanie 4.1
64Zadanie 4.2
64Zadanie 4.3
64Zadanie 4.4
64Zadanie 4.5
65Zadanie 4.6
65Zadanie 4.7
65Zadanie 4.8
65Ćwiczenie 10
66Ćwiczenie 11
67Ćwiczenie 12
67Ćwiczenie 13
67Ćwiczenie 14
67Zadanie 4.11
68Zadanie 4.12
68Zadanie 4.13
69Zadanie 4.14
69Zadanie 4.15
69Zadanie 4.16
69Ćwiczenie 16
70Ćwiczenie 17
70Ćwiczenie 19
71Ćwiczenie 21
71Ćwiczenie 22
72Ćwiczenie 23
72Ćwiczenie 24
73Zadanie 4.18
73Zadanie 4.19
73Zadanie 4.20
74Zadanie 4.21
74Zadanie 4.22
74Zadanie 4.23
74Zadanie 4.24
74Zadanie 4.26
74Zadanie 4.27
74Ćwiczenie 25
75Ćwiczenie 26
75Ćwiczenie 27
76Ćwiczenie 28
76Ćwiczenie 29
76Ćwiczenie 30
77Ćwiczenie 31
77Ćwiczenie 33
77Zadanie 4.29
78Zadanie 4.30
79Zadanie 4.31
79Zadanie 4.32
79Zadanie 4.33
79Zadanie 4.34
79Zadanie 4.35
79Zadanie 4.36
79Zadanie 4.37
79Ćwiczenie 34
81Ćwiczenie 35
81Ćwiczenie 37
82Ćwiczenie 38
82Ćwiczenie 39
83Ćwiczenie 40
83Ćwiczenie 41
83Ćwiczenie 42
83Zadanie 4.38
84Zadanie 4.39
84Zadanie 4.40
84Zadanie 4.41
84Zadanie 4.42
84Zadanie 4.43
84Zadanie 4.44
84Zadanie 4.45
85Zadanie 4.46
85Ćwiczenie 43
86Ćwiczenie 44
86Ćwiczenie 45
86Ćwiczenie 47
87Zadanie 4.47
87Zadanie 4.48
88Zadanie 4.49
88Zadanie 4.50
88Zadanie 4.51
88Zadanie 4.52
88Zadanie 4.53
88Zadanie 4.54
88Zadanie 4.55
88Ćwiczenie 48
89Ćwiczenie 49
90Ćwiczenie 51
91Zadanie 4.56
92Zadanie 4.57
92Zadanie 4.58
92Zadanie 4.59
93Zadanie 4.60
93Zadanie 4.61
93Ćwiczenie 55
94Ćwiczenie 56
94Ćwiczenie 57
95Zadanie 4.62
95Zadanie 4.63
95Zadanie 4.64
95Zadanie 4.65
95Zadanie 4.66
95Zadanie 4.67
96Zadanie 4.68
96Zadanie 4.69
95Zadanie 4.70
96