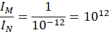
W tym zadaniu musisz porównać natężenie dźwięku grzmotu pioruna i najcichszego dźwięku.
Odpowiedź: Natężenie dźwięku grzmotu pioruna jest
Przekształć wzór, a następnie oblicz natężenie obu dźwięków i porównaj je.
Ćwiczenie 1.
79Ćwiczenie 2.
80Ćwiczenie 3.
80Ćwiczenie 4.
81Ćwiczenie 5.
81Ćwiczenie 6.
81Zadanie 4.1.
82Zadanie 4.2.
82Zadanie 4.4.
82Zadanie 4.5.
83Zadanie 4.6.
83Zadanie 4.7.
83Ćwiczenie 9.
84Ćwiczenie 10.
85Ćwiczenie 11.
85Ćwiczenie 12.
86Ćwiczenie 13
86Ćwiczenie 14
86Zadanie 4.11.
86Zadanie 4.12.
86Zadanie 4.13.
87Zadanie 4.14.
87Zadanie 4.15.
87Zadanie 4.16.
87Ćwiczenie 15.
88Ćwiczenie 16.
89Ćwiczenie 18.
90Ćwiczenie 20.
90Ćwiczenie 21.
91Ćwiczenie 22
91Ćwiczenie 23
92Zadanie 4.19.
92Zadanie 4.20.
92Zadanie 4.21.
92Zadanie 4.22.
92Zadanie 4.23.
92Zadanie 4.24.
93Zadanie 4.25.
93Zadanie 4.27.
93Zadanie 4.28.
93Ćwiczenie 24.
94Ćwiczenie 25.
94Ćwiczenie 26.
95Ćwiczenie 27.
95Ćwiczenie 28.
95Ćwiczenie 29.
96Ćwiczenie 30.
96Ćwiczenie 32.
97Zadanie 4.30.
97Zadanie 4.31.
97Zadanie 4.32.
98Zadanie 4.33.
98Zadanie 4.34.
98Zadanie 4.35.
98Zadanie 4.36.
98Zadanie 4.37.
98Zadanie 4.38.
98Zadanie 4.39.
98Ćwiczenie 33.
100Ćwiczenie 34.
100Ćwiczenie 36.
101Ćwiczenie 37.
101Ćwiczenie 38.
102Ćwiczenie 39.
102Ćwiczenie 40.
102Ćwiczenie 41.
102Zadanie 4.40.
103Zadanie 4.41.
103Zadanie 4.42.
103Zadanie 4.43.
103Zadanie 4.44.
103Zadanie 4.45.
103Zadanie 4.46.
103Zadanie 4.47.
104Zadanie 4.48.
104Ćwiczenie 42.
105Ćwiczenie 43.
105Ćwiczenie 44.
105Ćwiczenie 46.
106Zadanie 4.49.
106Zadanie 4.50.
107Zadanie 4.51.
107Zadanie 4.52.
107Zadanie 4.53.
107Zadanie 4.54.
107Zadanie 4.55.
107Zadanie 4.56.
107Zadanie 4.57.
107Ćwiczenie 47.
108Ćwiczenie 48.
109Ćwiczenie 50.
110Ćwiczenie 51.
110Zadanie 4.58.
111Zadanie 4.59.
111Zadanie 4.60.
111Zadanie 4.61.
112Zadanie 4.62.
112Zadanie 4.63.
112Zadanie 9.
113