d = 2r = 2,4 cm
r = 1,2 cm
P = πr2 = 1,44π cm2
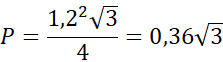
Zauważ, że pole tej naklejki składa się z 6 trójkątów równobocznych, których bok wynosi 1,2 cm.
Pole jednego trójkąta:
Obliczamy stosunek pola naklejki do pola monety:
Pole koła obliczamy ze wzoru:
P = πr2.
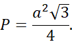
Natomiast pole trójkąta równobocznego otrzymamyze wzoru: