Mając podany promień koła oblicz stosunek pola koła do pola kwadratu o wskazanym boku.
r = 4 cm
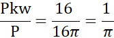
P = π(4)2 = 16πcm2
Pkw = a2
a = r = 4 cm
Pkw = 42 = 16 cm2
Musisz skorzystać z wzorów na pole koła oraz pole kwadratu, a następnie obliczyć stosunek pola kwadratu do pola koła.
Wzór na pole koła:
Zadanie 1.
Podpunkt a)
Podpunkt b)
Podpunkt c)
Podpunkt d)
Zadanie 2.
Zadanie 3.
Zadanie 4.
Zadanie 5.
Zadanie 6.
Zadanie 7.
Zadanie 8.
Zadanie 9.
Zadanie 10.
Zadanie 11.
Zadanie 12.
Zadanie 13.
Ćwiczenie Wyzwanie 1.
Ćwiczenie Sprawdź się! 1.
Ćwiczenie Sprawdź się! 2.
Ćwiczenie Sprawdź się! 3.
Ćwiczenie Sprawdź się! 4.
Ćwiczenie Sprawdź się! 5.
Zadanie 14.
Zadanie Wyzwanie 1.
Zadanie Sprawdź się! 1.
Zadanie Sprawdź się! 2.
Zadanie Sprawdź się! 3.
Zadanie Sprawdź się! 4.
Zadanie Sprawdź się! 5.
Zadanie 15.
Zadanie 16.