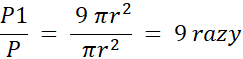
Zwiększ trzy razy promień koła i oblicz jego pole, a następnie wskaż ile razy zwiększy się również pole.
r1 = 3r
Musisz zapisać pola koła o promieniu r oraz promieniu trzy razy zwiększonym, a następnie podziel otrzymane przez wyjściowe. Wzór na pole koła:
Zadanie 1.
Podpunkt a)
Podpunkt b)
Podpunkt c)
Podpunkt d)
Zadanie 2.
Zadanie 3.
Zadanie 4.
Zadanie 5.
Zadanie 6.
Zadanie 7.
Zadanie 8.
Zadanie 9.
Zadanie 10.
Zadanie 11.
Zadanie 12.
Zadanie 13.
Ćwiczenie Wyzwanie 1.
Ćwiczenie Sprawdź się! 1.
Ćwiczenie Sprawdź się! 2.
Ćwiczenie Sprawdź się! 3.
Ćwiczenie Sprawdź się! 4.
Ćwiczenie Sprawdź się! 5.
Zadanie 14.
Zadanie Wyzwanie 1.
Zadanie Sprawdź się! 1.
Zadanie Sprawdź się! 2.
Zadanie Sprawdź się! 3.
Zadanie Sprawdź się! 4.
Zadanie Sprawdź się! 5.
Zadanie 15.
Zadanie 16.