d = 42 cm
r = 21 cm
Od żółtego koła mamy 7 pierścieni o szerokości 2 cm, więc 2 · 7 = 14 cm
21 – 14 = 7 cm
Pole koła:
P = π72 = 49π
1) Czerwony pierścień
7 cm + 2 · 2 cm = 11π
Pole czerwonego koła:
P = π · 112 = 121π
Pole pierścienia:
P = 121π – 49π = 72π
2) Niebieski pierścień
11 cm + 2 · 2 cm = 15 cm
Pole niebieskiego koła:
P = π · 152 = 225π
Pole pierścienia:
P = 225π – 121π = 104π
3) Czarny pierścień:
15 cm + 2 · 2 cm = 19 cm
Pole czarnego koła:
P = π · 192 = 361π
Pole pierścienia:
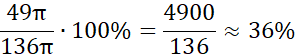
362π - 225π = 136 π
4) Stosunek czarnego pierścienia do żółtego koła:
100% - 36% = 64%
Odp.: Tak, pole żółte jest mniejsze o więcej niż 60%.
Pole pierścienia obliczamy ze wzoru: P = π(R2 – r2), gdzie R – promień zewnętrzny, r – promień wewnętrzny.