Na podstawie informacji zawartych w zadaniu odpowiedz na pytanie.
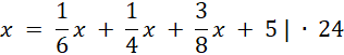
Pomnóż przez wspólną wielokrotność mianowników
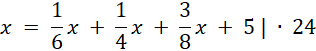
Podziel przez wartość stojącą przy x
Zadanie 3.
7Zadanie 4.
8Zadanie 7.
9Zadanie 10.
9Zadanie 17.
11Ćwiczenie Ćwiczenie 1.
11Ćwiczenie Ćwiczenie 2.
11Zadanie 1.
12Zadanie 2.
13Zadanie 3.
13Zadanie 4.
13Zadanie 5.
14Zadanie 11.
15Ćwiczenie Wyzwanie
15Zadanie 1.
16Zadanie 3.
17Zadanie 7.
18Zadanie 8.
18Zadanie 11.
19Ćwiczenie Wyzwanie
19Ćwiczenie Ćwiczenie 3.
19Zadanie 2.
20Zadanie 3.
21Zadanie 4.
21Zadanie 5.
22Zadanie 7.
22Zadanie 9.
23Zadanie 11.
23Zadanie 12.
24Ćwiczenie Ćwiczenie 1.
24Ćwiczenie Ćwiczenie 2.
24Zadanie 1.
25Zadanie 3.
25Zadanie 5.
25Zadanie 18.
26Zadanie 20.
27Zadanie 23.
27Zadanie 24.
27