W tym zadaniu musisz podać rozwiązania równania
Przenieś wszystkie wyrazy na lewą stronę.
Wyłącz
Rozłóż
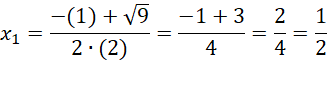
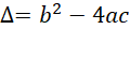
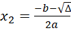
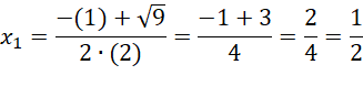
Skorzystaj ze wzoru:
Gdy
Ćwiczenie 1
56Ćwiczenie 2
57Ćwiczenie 3
57Ćwiczenie 4
57Ćwiczenie 5
57Ćwiczenie 6
57Zadanie 1
58Zadanie 3
58Zadanie 5
58Zadanie 6
58Zadanie 7
58Zadanie 8
58Zadanie 9
58Ćwiczenie 1
59Ćwiczenie 2
59Ćwiczenie 4
60Ćwiczenie 5
60Ćwiczenie 6
60Ćwiczenie 7
61Ćwiczenie 8
61Zadanie 1
62Zadanie 2
62Zadanie 3
62Zadanie 4
62Zadanie 5
62Zadanie 6
62Zadanie 7
62Zadanie 8
63Zadanie 10
63Zadanie 11
63Zadanie 13
63Zadanie 14
63Zadanie 15
63Ćwiczenie 1
64Ćwiczenie 2
65Ćwiczenie 3
65Ćwiczenie 4
65Zadanie 1
65Zadanie 2
66Zadanie 3
66Zadanie 4
66Zadanie 5
66Zadanie 6
66Zadanie 7
66Zadanie 8
66Zadanie 9
66Zadanie 10
66Ćwiczenie 1
68Ćwiczenie 2
68Ćwiczenie 3
68Ćwiczenie 5
69Ćwiczenie 6
69Ćwiczenie 8
69Ćwiczenie 9
70Ćwiczenie 10
70Zadanie 1
70Zadanie 2
70Zadanie 3
70Zadanie 4
70Zadanie 5
70Zadanie 6
71Zadanie 7
71Zadanie 8
71Zadanie 9
71Zadanie 10
71Zadanie 11
71Zadanie 12
71Zadanie 13
71Zadanie 14
71Zadanie 1
72Zadanie 3
72Ćwiczenie 1
73Ćwiczenie 2
74Ćwiczenie 3
74Zadanie 1
75Zadanie 2
75Zadanie 3
75Zadanie 4
75Zadanie 5
75Zadanie 6
75Ćwiczenie 1
76Ćwiczenie 2
77Zadanie 1
77Zadanie 2
77Zadanie 3
77Zadanie 4
77Zadanie 5
77Zadanie 6
77Ćwiczenie 1
78Ćwiczenie 2
79Ćwiczenie 4
80Zadanie 1
80Zadanie 2
80Zadanie 3
80Zadanie 4
80Zadanie 6
81Zadanie 7
81Zadanie 8
81Zadanie 9
81Zadanie 10
81Zadanie 11
81Zadanie 12
81Ćwiczenie 1
82Ćwiczenie 2
83Ćwiczenie 3
83Ćwiczenie 4
84Zadanie 1
84Zadanie 2
85Zadanie 3
85Zadanie 4
85Zadanie 5
85Zadanie 6
85Zadanie 1
86Ćwiczenie 2
87Ćwiczenie 3
88Ćwiczenie 4
89Zadanie 1
89Zadanie 2
90Zadanie 3
90Zadanie 4
90Zadanie 5
90Zadanie 6
90Zadanie 7
90Ćwiczenie 1
91Ćwiczenie 2
92Ćwiczenie 3
92Zadanie 1
93Zadanie 2
93Zadanie 3
93Zadanie 4
93Zadanie 6
93Zadanie 7
93Zadanie 8
93Zadanie 1
94Zadanie 2
94Ćwiczenie 2
95Ćwiczenie 3
95Zadanie 2
96Zadanie 4
96Zadanie 1
97Zadanie 4
100Zadanie 6
100Zadanie 1
101Zadanie 2
101Zadanie 3
101Zadanie 4
101Zadanie 5
101Zadanie 6
101Zadanie 7
101Zadanie 8
101Zadanie 9
102Zadanie 10
102Zadanie 11
102Zadanie 1
102Zadanie 2
102Zadanie 3
102Zadanie 4
102Zadanie 5
103Zadanie 6
103Zadanie 7
103Zadanie 12
103