Skul.pl
  • Opracowania zadań z podręczników
  • Matematyka z kluczem. Klasa 8. Zeszyt ćwiczeń - rozwiązania i odpowiedzi
  • Zadanie 6

Matematyka z kluczem. Klasa 8. Zeszyt ćwiczeń - rozwiązania i odpowiedzi

Zeszyt ćwiczeń, Wydawnictwo: Nowa Era
Poprzednie

Zadanie 6 - strona 49

Następne

Zadanie

Przeprowadź dowód matematyczny.

Rozwiązanie

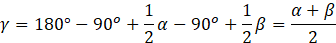
Kąt CAD; Kąt ACD; z założenia równe, bo trójkąt ACD jest równoramienny.

Kąt BAC; Kąt ACB; równy, bo trójkąt ABC jest równoramienny.

Skul
Poprzednie
Następne

Matematyka - wybrane pytania

Ćwiczenie 3, strona 215, Matematyka. Klasa 2. Podręcznik. Zakres rozszerzony – rozwiązania i odpowiedzi
Zadanie 28., strona 23, Matematyka z plusem. Klasa 4. Zbiór zadań - rozwiązania i odpowiedzi
Zadanie 10, strona 221, MATeMAtyka 2. Zakres podstawowy. Podręcznik - rozwiązania i odpowiedzi
Zadanie 7, strona 134, MATeMAtyka 4. Zakres podstawowy i rozszerzony. Podręcznik - rozwiązania i odpowiedzi
Zadanie Co było na lekcji 5, strona 89, Matematyka. Klasa 5. Zeszyt ćwiczeń część 1 - rozwiązania i odpowiedzi.
Zadanie 10, strona 29, MATeMAtyka 4. Zakres podstawowy i rozszerzony. Podręcznik - rozwiązania i odpowiedzi
Zadanie 2, strona 175, MATeMAtyka 4. Zakres podstawowy i rozszerzony. Podręcznik - rozwiązania i odpowiedzi
Zadanie 2., strona 32, Matematyka wokół nas. Klasa 5. Zeszyt ćwiczeń. Część 2 - rozwiązania i odpowiedzi
Zadanie 8., strona 155, Matematyka. Klasa 8. Podręcznik - rozwiązania i odpowiedzi
Zadanie Czy to już potrafisz? 1., strona 197, Matematyka. Klasa 7. Podręcznik – rozwiązania i odpowiedzi
REKLAMA
Skul
Zadania z tego działu
III. Figury na płaszczyźnie
41
1. Własności kątów
41

Zadanie 1

41

Podpunkt a)

41

Podpunkt b)

41

Podpunkt c)

41

Zadanie 2

41

Podpunkt a)

41

Podpunkt b)

41

Zadanie 3

41

Podpunkt a)

41

Podpunkt b)

41

Zadanie 4

42

Zadanie 5

42

Zadanie 6

43

Zadanie 7

43

Zadanie 8

43
2. Kąty — zadania
44

Zadanie 1

44

Podpunkt a)

44

Podpunkt b)

44

Zadanie 2

45

Podpunkt a)

45

Podpunkt b)

45

Podpunkt c)

45

Zadanie 3

46

Podpunkt a)

46

Podpunkt b)

46

Zadanie 4

47

Zadanie 5

47
3. Twierdzenie matematyczne i jego dowód
48

Zadanie 1

48

Podpunkt a)

48

Podpunkt b)

48

Podpunkt c)

48

Zadanie 2

48

Zadanie 3

48

Zadanie 4

48

Podpunkt a)

48

Podpunkt b)

48

Podpunkt c)

48

Podpunkt d)

48

Zadanie 5

49

Zadanie 6

49
4. Nierówność trójkąta
50

Zadanie 1

50

Zadanie 2

50

Podpunkt a)

50

Podpunkt b)

50

Podpunkt c)

50

Zadanie 3

50

Zadanie 4

51

Podpunkt a)

51

Podpunkt b)

51

Zadanie 5

51
Sprawdź, czy potrafisz
52

Zadanie 1

52

Zadanie 2

52

Zadanie 3

52

Zadanie 4

52

Zadanie 5

52

Zadanie 6

53

Zadanie 7

53

Zadanie 8

53
Jak na egzaminie
54

Zadanie 1

54

Zadanie 2

54

Zadanie 3

54
Pełny spis treści
Skul
Artboard 1
Skul.pl
  • Napisz do nas
  • FAQ
  • Mapa Serwisu
  • Google Play
  • App Store

Korzystanie z portalu oznacza akceptację Regulaminu.
Polityka prywatności. Ustawienia preferencji. Copyright: INTERIA.PL 1999-2023 Wszystkie prawa zastrzeżone.