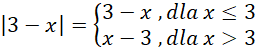
Musisz rozważyć w jakich przedziałach trzeba rozważyć zadanie, obliczyć wyrażenie w tych przedziałach oraz sprawdzić, czy otrzymane wyniki należą do zakładanych przedziałów.
Mamy więc trzy przedziały do obliczenia:
Ćwiczenie 4
116Ćwiczenie 5
116Ćwiczenie 7
117Ćwiczenie 8
117Zadanie 6.2
119Zadanie 6.5
120Zadanie 6.6
120Zadanie 6.7
120Zadanie 6.8
120Zadanie 6.9
120Zadanie 6.11
120Ćwiczenie 15
123Ćwiczenie 16
123Ćwiczenie 17
124Ćwiczenie 18
124Ćwiczenie 19
125Ćwiczenie 20
126Zadanie 6.15
126Zadanie 6.16
126Zadanie 6.21
127Zadanie 6.23
127Ćwiczenie 21
128Ćwiczenie 23
129Zadanie 6.25
129Zadanie 6.26
129Ćwiczenie 24
131Ćwiczenie 25
131Ćwiczenie 26
131Ćwiczenie 27
132Ćwiczenie 28
132Ćwiczenie 30
133Ćwiczenie 31
133Ćwiczenie 32
134Zadanie 6.36
134Zadanie 6.37
134Zadanie 6.39
135Zadanie 6.40
135Zadanie 6.41
135Zadanie 6.42
135Zadanie 6.43
135Zadanie 6.44
135Ćwiczenie 33
137Ćwiczenie 34
137Ćwiczenie 35
138Ćwiczenie 36
138Ćwiczenie 37
139Ćwiczenie 38
140Zadanie 6.47
141Zadanie 6.48
141Zadanie 6.50
141Zadanie 6.51
141Zadanie 6.52
141Zadanie 6.53
141Zadanie 6.54
141Zadanie 6.56
142Zadanie 6.57
142Ćwiczenie 1
113Ćwiczenie 2
113Ćwiczenie 3
114