Oblicz objętość graniastosłupa.
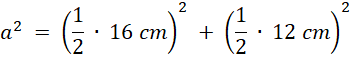
Z twierdzenia Pitagorasa obliczmy długość krawędzi rombu:
Obliczmy długość wysokości graniastosłupa:
Teraz możemy obliczyć objętość graniastosłupa:
Zadanie 1.
Zadanie 2.
Zadanie 3.
Zadanie 4.
Zadanie 5.
Zadanie 6.
Zadanie 7.
Zadanie 8.
Zadanie 9.
Zadanie 10.
Zadanie 11.
Podpunkt a)
Podpunkt b)
Podpunkt c)
Zadanie 12.
Zadanie 13.
Zadanie 14.
Zadanie 15.
Zadanie 16.
Zadanie 17.
Ćwiczenie Wyzwanie
Ćwiczenie Ćwiczenie 1.
Ćwiczenie Ćwiczenie 2.
Ćwiczenie Ćwiczenie 3.
Ćwiczenie Ćwiczenie 4.
Ćwiczenie Ćwiczenie 5.
Zadanie 18.
Podpunkt d)
Podpunkt e)
Podpunkt f)