Oblicz pole powierzchni całkowitej i objętość tego graniastosłupa.
Pole podstawy graniastosłupa jest równe 120 , oznaczmy długość drugiej przekątnej jako x, wtedy:
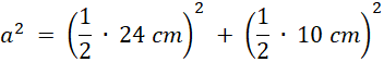
Obliczmy teraz długość krawędzi podstawy z twierdzenia Pitagorasa:
Teraz możemy policzyć pole powierzchni całkowitej i objętość:
Zadanie 1.
Zadanie 2.
Zadanie 3.
Zadanie 4.
Zadanie 5.
Zadanie 6.
Zadanie 7.
Zadanie 8.
Zadanie 9.
Zadanie 10.
Zadanie 11.
Podpunkt a)
Podpunkt b)
Podpunkt c)
Zadanie 12.
Zadanie 13.
Zadanie 14.
Zadanie 15.
Zadanie 16.
Zadanie 17.
Ćwiczenie Wyzwanie
Ćwiczenie Ćwiczenie 1.
Ćwiczenie Ćwiczenie 2.
Ćwiczenie Ćwiczenie 3.
Ćwiczenie Ćwiczenie 4.
Ćwiczenie Ćwiczenie 5.
Zadanie 18.
Podpunkt d)
Podpunkt e)
Podpunkt f)