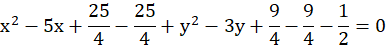
Należy podać długość promienia oraz współrzędne środka okręgu danego wzorem
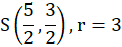
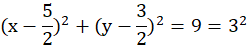
W postaci kanonicznej równanie okręgu ma postać:
Zadanie 7.1.
176Zadanie 7.2.
176Zadanie 7.3.
176Zadanie 7.4.
176Zadanie 7.5.
176Zadanie 7.6.
177Zadanie 7.9.
177Zadanie 7.14.
178Zadanie 7.15.
178Zadanie 7.16.
178Zadanie 7.17.
178Zadanie 7.18.
179Zadanie 7.19.
179Zadanie 7.20.
179Zadanie 7.21.
179Zadanie 7.22.
179Zadanie 7.23.
179Zadanie 7.24.
180Zadanie 7.25.
180Zadanie 7.26.
180Zadanie 7.27.
180Zadanie 7.28.
180Zadanie 7.29.
181Zadanie 7.30.
181Zadanie 7.31.
181Zadanie 7.32.
181Zadanie 7.33.
182Zadanie 7.34.
182Zadanie 7.35.
182Zadanie 7.36.
182Zadanie 7.37.
182Zadanie 7.38.
183Zadanie 7.41.
183Zadanie 7.42.
183Zadanie 7.43.
183Zadanie 7.44.
183Zadanie 7.45.
184Zadanie 7.46.
184Zadanie 7.47.
184Zadanie 7.49.
184Zadanie 7.51.
184Zadanie 7.53.
184Zadanie 7.60.
185Zadanie 7.61.
185Zadanie 7.62.
185Zadanie 7.68.
186Zadanie 7.71.
186Zadanie 7.72.
187Zadanie 7.73.
187Zadanie 7.74.
187Zadanie 7.75.
187Zadanie 7.77.
187Zadanie 7.78.
187Zadanie 7.79.
188Zadanie 7.81.
188Zadanie 7.82.
188Zadanie 7.83.
188Zadanie 7.84.
188Zadanie 7.85.
189Zadanie 7.88.
189Zadanie 7.89.
189Zadanie 7.90.
189Zadanie 7.91.
190Zadanie 7.92.
190Zadanie 7.93.
190Zadanie 7.94.
190Zadanie 7.95.
190Zadanie 7.96.
190Zadanie 7.97.
191Zadanie 7.98.
191Zadanie 7.99.
191Zadanie 7.100.
191Zadanie 7.101.
191Zadanie 7.102.
191Zadanie 7.103.
192Zadanie 7.104.
192Zadanie 7.105.
192Zadanie 7.106.
192Zadanie 7.107.
193Zadanie 7.108.
193Zadanie 7.111.
193Zadanie 7.112.
193Zadanie 7.113.
194Zadanie 7.114.
194Zadanie 7.115.
194Zadanie 7.119.
194Zadanie 7.120.
194Zadanie 7.121.
195Zadanie 7.122.
195Zadanie 7.11.
197Zadanie 7.12.
197Zadanie 7.14.
197Zadanie 7.19.
198Zadanie 7.20.
198Zadanie 7.21.
198Zadanie 7.22.
198Zadanie 7.23.
198Zadanie 7.24.
198Zadanie 7.25.
198Zadanie 7.30.
199Zadanie 8.1.
198Zadanie 8.2.
198Zadanie 8.3.
198Zadanie 8.4.
198Zadanie 8.5.
198Zadanie 8.6.
198Zadanie 8.8.
198Zadanie 8.9.
199Zadanie 8.10.
199Zadanie 8.14.
199Zadanie 8.18.
200Zadanie 8.19.
200Zadanie 8.20.
200Zadanie 8.21.
200Zadanie 8.22.
200Zadanie 8.23.
200Zadanie 8.24.
200Zadanie 8.29.
201Zadanie 8.30.
201Zadanie 8.31.
201Zadanie 8.32.
201Zadanie 8.33.
201Zadanie 8.34.
201Zadanie 8.35.
202Zadanie 8.36.
202Zadanie 8.37.
202Zadanie 8.38.
202Zadanie 8.40.
202Zadanie 8.41.
202Zadanie 8.42.
202Zadanie 8.44.
202Zadanie 8.45.
203Zadanie 8.46.
203Zadanie 8.47.
203Zadanie 8.48.
203Zadanie 8.49.
203Zadanie 8.50.
203Zadanie 8.53.
203Zadanie 8.55.
204Zadanie 8.56.
204Zadanie 8.63.
204Zadanie 8.64.
204Zadanie 8.65.
205Zadanie 8.72.
205Zadanie 8.73.
205Zadanie 8.74.
205Zadanie 8.75.
205Zadanie 8.78.
206Zadanie 8.79.
206Zadanie 8.80.
206Zadanie 8.81.
206Zadanie 8.82.
206Zadanie 8.83.
206Zadanie 8.84.
206Zadanie 8.85.
207Zadanie 8.86.
207Zadanie 8.87.
207Zadanie 8.88.
207Zadanie 8.89.
207Zadanie 8.90.
207Zadanie 8.91.
207Zadanie 8.92.
208Zadanie 8.95.
208Zadanie 8.99.
208Zadanie 8.100.
209Zadanie 8.113.
210Zadanie 8.114.
210Zadanie 8.115.
210Zadanie 8.116.
210Zadanie 8.117.
210Zadanie 8.124.
211Zadanie 8.131.
211Zadanie 8.132.
212Zadanie 8.136.
212Zadanie 8.138.
213Zadanie 8.140.
213Zadanie 8.143.
213Zadanie 8.144.
213Zadanie 8.145.
213Zadanie 8.146.
213Zadanie 8.147.
214Zadanie 8.149.
214Zadanie 8.151.
214Zadanie 8.152.
214Zadanie 8.153.
214Zadanie 8.154.
214Zadanie 8.155.
214Zadanie 8.156.
215Zadanie 8.157.
215Zadanie 8.158.
215Zadanie 8.159.
215Zadanie 8.160.
215Zadanie 8.161.
215Zadanie 8.162.
216Zadanie 8.163.
216Zadanie 8.164.
216Zadanie 8.165.
216Zadanie 8.166.
216Zadanie 8.167.
216Zadanie 8.168.
216Zadanie 8.169.
217Zadanie 8.170.
217Zadanie 8.171.
217Zadanie 8.172.
217Zadanie 8.175.
217Zadanie 8.176.
218Zadanie 8.12.
220Zadanie 8.16.
221Zadanie 8.17.
221Zadanie 8.21.
221Zadanie 8.22.
221Zadanie 8.27.
222Zadanie 8.28.
222Zadanie 8.36.
223