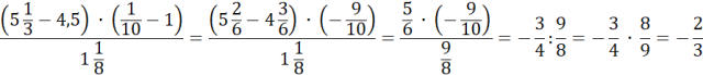
W tym zadaniu musisz rozwiązać podany przykład pamiętając o kolejności działań.
Zadanie 1
128Zadanie 2
129Zadanie 3
130Zadanie 5
130Zadanie 6
130Zadanie 7
130Zadanie 8
131Zadanie 9
131Zadanie 11
131Zadanie 14
132Ćwiczenie Dla dociekliwych 1
132Ćwiczenie I
132Ćwiczenie II
132Ćwiczenie IV
132Zadanie 1
136Zadanie 2
136Zadanie 3
137Zadanie 5
137Zadanie 6
137Zadanie 7
138Zadanie 8
138Zadanie 9
138Ćwiczenie I
139Ćwiczenie II
139Ćwiczenie III
139Ćwiczenie IV
139Zadanie 1
143Zadanie 2
143Zadanie 4
144Zadanie 5
144Ćwiczenie Dla dociekliwych 2
145Ćwiczenie I
145Ćwiczenie IV
145Zadanie 1
149Zadanie 5
149Zadanie 6
149Zadanie 8
150Zadanie 9
150Zadanie 10
150Zadanie 11
150Zadanie 12
150Ćwiczenie Dla dociekliwych 1
151Ćwiczenie I
151Zadanie IV
151Zadanie 1
155Zadanie 2
156Zadanie 3
156Zadanie 5
156Zadanie 6
156Zadanie 8
157Zadanie 9
157Ćwiczenie I
158Zadanie 6
163Zadanie 7
163Zadanie 10
163Ćwiczenie Dla dociekliwych 1
164Ćwiczenie II
164Ćwiczenie 1
165Ćwiczenie 2
166Ćwiczenie 3
167Zadanie 1
167Zadanie 2
167Zadanie 3
167Zadanie 4
167Zadanie 6
168Zadanie 7
168Zadanie 8
168Zadanie 9
168Ćwiczenie I
169Ćwiczenie II
169Zadanie 1
170Zadanie 2
170Zadanie 4
170Zadanie 5
170Zadanie 11
171Zadanie 13
171Zadanie 15
171Zadanie 18
171