Dane:
PIERWSZA SUBSTANCJA:
ms = 20g
mH2O = 100g
mr = ms + mH2O
mr = 20g +100g = 120g
Szukane:
Cp = ?
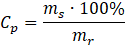
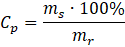
Wzór:
Obliczenia:
DRUGA SUBSTANCJA:
ms = 40g
mH2O = 200g
mr = ms + mH2O
mr = 40g +200g = 240g
Szukane:
Cp = ?
Wzór:
Obliczenia:
Odpowiedź: A. Otrzymano roztwory o tym samym stężeniu procentowym.
Kroki obliczeń:
1. Wypisz dane.
2. Zapisz wzór na stężenie procentowe.
3. Wykonaj obliczenia.
4. Masa roztworu to suma masy wody i substancji.
5. Zapisz odpowiedź.