Dane:
ms = 5g
VH2O = 100 cm3
dH2O = 1g/cm3
Gęstość wody wynosi 1g/cm3, który jest równy 1 g.
mH2O = 100g
Szukane:
Cp = ?
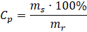
Wzór:
mr = ms + mH2O
Obliczenia:
mr = 5g + 100g = 105g
Odpowiedź: A. 4,8%
Kroki obliczeń:
1. Wypisz dane.
2. Zapisz wzór na stężenie procentowe.
3. Wykonaj obliczenia. Zapamiętaj, że 1g wody, to 1cm3.
4. Masa roztworu to suma masy wody i substancji. Oblicz masę wody
5. Zapisz odpowiedź.