Zapisz schemat reakcji.
Zapisz schemat reakcji z prawidłowymi ich produktami.
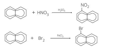
Ćwiczenie 16.5.
282Ćwiczenie *16.6.
282Ćwiczenie 16.19.
285Ćwiczenie 16.20.
285Ćwiczenie 16.21.
286Ćwiczenie 16.23.
286Ćwiczenie 16.24.
286Ćwiczenie 16.26.
288Ćwiczenie 16.27.
288Ćwiczenie 16.30.
288Ćwiczenie 16.31.
288Ćwiczenie 16.35.
289Ćwiczenie *16.47.
290Ćwiczenie 16.54.
290Ćwiczenie *16.55.
290Ćwiczenie *16.56.
290Ćwiczenie 16.65.
292Ćwiczenie 16.68.
293Ćwiczenie 16.70.
293Ćwiczenie 16.71.
293Ćwiczenie 16.72.
294Ćwiczenie 16.74.
294Ćwiczenie 16.75.
294Ćwiczenie 16.84.
295Ćwiczenie 16.91.
296Ćwiczenie 16.92.
297Ćwiczenie 16.108.
299Ćwiczenie 16.109.
299Ćwiczenie 16.111.
300Ćwiczenie 16.112.
300Ćwiczenie 16.117.
301Ćwiczenie 16.119.
302Ćwiczenie 16.122.
302Ćwiczenie 16.124.
303Ćwiczenie **16.135.
303Ćwiczenie **16.136.
303Ćwiczenie 16.138.
304Ćwiczenie 16.139.
304Ćwiczenie 16.144.
304Ćwiczenie 16.146.
304Ćwiczenie 16.147.
305