Skul.pl
  • Opracowania zadań z podręczników
  • NOWA To jest chemia 1. Klasa 1. Podręcznik. Zakres rozszerzony. Wersja 2024 - rozwiązania i odpowiedzi
  • Podpunkt e)

NOWA To jest chemia 1. Klasa 1. Podręcznik. Zakres rozszerzony. Wersja 2024 - rozwiązania i odpowiedzi

Podręcznik, Wydawnictwo: Nowa Era
Poprzednie

Ćwiczenie 5., e) - strona 249

Następne

Zadanie

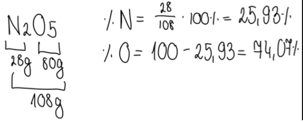
W tym zadaniu oblicz skład procentowy podanego tlenku.

Rozwiązanie

Skul

Wyjaśnienie

Aby obliczyć zawartość procentową pierwiastków w danym związku należy odczytać masy molowe pierwiastków z układu okresowego. Następnie liczymy masę molową całego związku. Aby obliczyć zawartość procentową należy podzielić masę pierwiastka przez masę całego związku, a następnie pomnożyć razy 100%.

Poprzednie
Następne

Chemia - wybrane pytania

Zadanie 4., strona 93, Chemia. Klasa 8. Zeszyt ćwiczeń- rozwiązania i odpowiedzi
Zadanie do rozwiązania 1., strona 41, Chemia. Klasa 2. Zakres podstawowy. Podręcznik- rozwiązania i odpowiedzi
Ćwiczenie 2.129., strona 54, Chemia. Klasa 3. Zbiór zadań. Zakres rozszerzony - rozwiązania i odpowiedzi
Zadanie 3.1.23., strona 41, Chemia. Klasa 7,8. Zbiór zadań- rozwiązania i odpowiedzi
Zadanie 32., strona 58, Chemia. Klasa 1. Zbiór zadań. Zakres rozszerzony - rozwiązania i odpowiedzi
Zadanie 6.2.13., strona 102, Chemia. Klasa 7,8. Zbiór zadań- rozwiązania i odpowiedzi
Zadanie 2*, strona 65, Chemia. Klasa 3. Podręcznik. Zakres rozszerzony- rozwiązania i odpowiedzi
Ćwiczenie 3., strona 32, Chemia Nowej Ery. Klasa 8. Zeszyt ćwiczeń – rozwiązania i odpowiedzi
Ćwiczenie 6., strona 38, Chemia. Klasa 7. Zeszyt ćwiczeń - rozwiązania i odpowiedzi
Zadanie sprawdzające 13., strona 45, Chemia. Klasa 2. Zakres podstawowy. Podręcznik- rozwiązania i odpowiedzi
REKLAMA
Skul
Zadania z tego działu
Stechiometria
241
22. Mol i masa molowa
242

Ćwiczenie 1.

249

Podpunkt a)

249

Podpunkt b)

249

Podpunkt c)

249

Podpunkt d)

249

Ćwiczenie 2.

249

Podpunkt a)

249

Podpunkt b)

249

Podpunkt c)

249

Podpunkt d)

249

Ćwiczenie 3.

249

Podpunkt a)

249

Podpunkt b)

249

Podpunkt c)

249

Ćwiczenie 4.

249

Podpunkt a)

249

Podpunkt b)

249

Podpunkt c)

249

Ćwiczenie 5.

249

Podpunkt a)

249

Podpunkt b)

249

Podpunkt c)

249

Podpunkt d)

249

Podpunkt e)

249

Zadanie 6

249

Zadanie 7

249

Zadanie 8

249

Podpunkt a)

249

Podpunkt b)

249
23. Objętość molowa gazów – prawo Avogadra
250

Ćwiczenie 1.

256

Ćwiczenie 2.

256

Ćwiczenie 3.

256

Ćwiczenie 4.

256
24. Obliczenia stechiometryczne
257

Ćwiczenie 1.

276

Ćwiczenie 2.

276

Ćwiczenie 3.

276

Ćwiczenie 4.

276

Ćwiczenie 5.

276

Ćwiczenie 6.

276

Ćwiczenie 7.

276
Trening – rozwiąż zadania
280

Ćwiczenie 1.

280

Ćwiczenie 2.

280

Ćwiczenie 3.

280

Ćwiczenie 4.

280

Ćwiczenie 5.

280

Podpunkt a)

280

Podpunkt b)

280
Pełny spis treści
Skul
Artboard 1
Skul.pl
  • Napisz do nas
  • FAQ
  • Mapa Serwisu
  • Google Play
  • App Store

Korzystanie z portalu oznacza akceptację Regulaminu.
Polityka prywatności. Ustawienia preferencji. Copyright: INTERIA.PL 1999-2023 Wszystkie prawa zastrzeżone.