Skul.pl
  • Opracowania zadań z podręczników
  • NOWA To jest chemia 1. Klasa 1. Podręcznik. Zakres rozszerzony. Wersja 2024 - rozwiązania i odpowiedzi
  • Podpunkt c)

NOWA To jest chemia 1. Klasa 1. Podręcznik. Zakres rozszerzony. Wersja 2024 - rozwiązania i odpowiedzi

Podręcznik, Wydawnictwo: Nowa Era
Poprzednie

Ćwiczenie 5., c) - strona 249

Następne

Zadanie

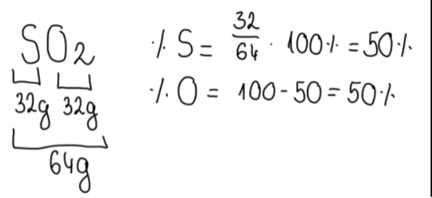
W tym zadaniu oblicz skład procentowy podanego tlenku.

Rozwiązanie

Skul

Wyjaśnienie

Aby obliczyć zawartość procentową pierwiastków w danym związku należy odczytać masy molowe pierwiastków z układu okresowego. Następnie liczymy masę molową całego związku. Aby obliczyć zawartość procentową należy podzielić masę pierwiastka przez masę całego związku, a następnie pomnożyć razy 100%.

Poprzednie
Następne

Chemia - wybrane pytania

Zadanie 1, strona 107, Chemia. Klasa 4. Podręcznik. Zakres rozszerzony – rozwiązania i odpowiedzi
Zadanie 8.1.32., strona 36, Chemia. Klasa 8. Zbiór zadań- rozwiązania i odpowiedzi
Zadanie sprawdzające 1., strona 67, Chemia. Klasa 2. Podręcznik. Zakres rozszerzony. Wersja 2023 - rozwiązania i odpowiedzi
Zadanie do rozwiązania 6., strona 283, Chemia. Klasa 2. Zakres podstawowy. Podręcznik- rozwiązania i odpowiedzi
Ćwiczenie 9, strona 130, Chemia. Klasa 3. Podręcznik. Zakres rozszerzony- rozwiązania i odpowiedzi
Zadanie podsumowujące 1., strona 162, Chemia. Klasa 2. Podręcznik. Zakres rozszerzony. Wersja 2023 - rozwiązania i odpowiedzi
Ćwiczenie 3., strona 67, Świat chemii. Klasa 8. Zeszyt ćwiczeń – rozwiązania i odpowiedzi
Ćwiczenie 1, strona 53, Chemia. Klasa 7. Podręcznik - rozwiązania i odpowiedzi
Ćwiczenie 1., strona 90, Świat chemii. Klasa 8. Zeszyt ćwiczeń – rozwiązania i odpowiedzi
Zadanie 5.1.5., strona 70, Chemia. Klasa 7. Zbiór zadań - rozwiązania i odpowiedzi
REKLAMA
Skul
Zadania z tego działu
Stechiometria
241
22. Mol i masa molowa
242

Ćwiczenie 1.

249

Podpunkt a)

249

Podpunkt b)

249

Podpunkt c)

249

Podpunkt d)

249

Ćwiczenie 2.

249

Podpunkt a)

249

Podpunkt b)

249

Podpunkt c)

249

Podpunkt d)

249

Ćwiczenie 3.

249

Podpunkt a)

249

Podpunkt b)

249

Podpunkt c)

249

Ćwiczenie 4.

249

Podpunkt a)

249

Podpunkt b)

249

Podpunkt c)

249

Ćwiczenie 5.

249

Podpunkt a)

249

Podpunkt b)

249

Podpunkt c)

249

Podpunkt d)

249

Podpunkt e)

249

Zadanie 6

249

Zadanie 7

249

Zadanie 8

249

Podpunkt a)

249

Podpunkt b)

249
23. Objętość molowa gazów – prawo Avogadra
250

Ćwiczenie 1.

256

Ćwiczenie 2.

256

Ćwiczenie 3.

256

Ćwiczenie 4.

256
24. Obliczenia stechiometryczne
257

Ćwiczenie 1.

276

Ćwiczenie 2.

276

Ćwiczenie 3.

276

Ćwiczenie 4.

276

Ćwiczenie 5.

276

Ćwiczenie 6.

276

Ćwiczenie 7.

276
Trening – rozwiąż zadania
280

Ćwiczenie 1.

280

Ćwiczenie 2.

280

Ćwiczenie 3.

280

Ćwiczenie 4.

280

Ćwiczenie 5.

280

Podpunkt a)

280

Podpunkt b)

280
Pełny spis treści
Skul
Artboard 1
Skul.pl
  • Napisz do nas
  • FAQ
  • Mapa Serwisu
  • Google Play
  • App Store

Korzystanie z portalu oznacza akceptację Regulaminu.
Polityka prywatności. Ustawienia preferencji. Copyright: INTERIA.PL 1999-2023 Wszystkie prawa zastrzeżone.